Back to Home Page of CD3WD Project or Back to list of CD3WD Publications

CLOSE THIS BOOKSimple Methods for the Treatment of Drinking Water (GTZ, 1985, 78 p.)
3. Technologies
VIEW THE DOCUMENT3.1 Introduction
VIEW THE DOCUMENT3.2 Aeration
VIEW THE DOCUMENT3.3 Sedimentation
VIEW THE DOCUMENT3.4 Coagulation and Flocculation
VIEW THE DOCUMENT3.5 Filtration
VIEW THE DOCUMENT3.6 Disinfection

Simple Methods for the Treatment of Drinking Water (GTZ, 1985, 78 p.)

3. Technologies

3.1 Introduction

The treatment processes introduced and outlined in this chapter were selected according to their suitability and appropriateness for application in less developed regions. They can be classified as:

- aeration;
- sedimentation;
- coagulation and flocculation;
- filtration;
- disinfection.

In the following the basic features of these methods will be presented to permit an understanding of the underlying physical, chemical and biological processes of water treatment. For a more detailed description, see the literature (appendix). Both abstract flow schemes and examples will be used to demonstrate and emphasize simple versions of the more commonly known treatment methods. Size and capacities of treatment components and of the whole plant are discussed along with aspects of application, performance and combination with other methods. The examples selected stress the possibility of using locally available materials instead of imported ones. The exclusive use of local materials may not always be possible. In particular, if certain treatments of the raw water, such as chlorination are believed necessary, effective local substitutes may not exist. These limitations require eliminating a number of treatment technologies from further consideration - including those which are either too expensive or too complicated, and whose high level of performance may far exceed what is needed. A few technologies which are borderline for our purposes will be discussed briefly (ozonation, uv-radiation).

Potential industrial and agricultural contaminants (chemicals such as oil, phosphates, sulphates, heavy metals, etc.) which end up in water resources in increasing amounts will also be addressed in this chapter. These contaminants must be removed if the water is to be made potable. It must be pointed out that it generally requires more advanced analytic methods to spot these substances in the water, and their removal may be altogether impossible as sophisticated technologies are required. It is therefore recommended that water which is contaminated as described above not be used for the purposes of these projects.

Since treatment generally presents the most demanding component of a water supply system, it must be examined whether alternative methods exist that yield a measure of quality improvement: several such methods include the proper mode of water abstraction***, and protection of the water source from contamination, as well as rehabilitation, upgrading and systematic monitoring of already existing works, and construction of efficient sanitation facilities.

3.2 Aeration

3.2.1 Range of Application
3.2.2 Aerators

The basic purpose of aeration is the reduction of the content of substances which cause unpleasant tastes and odors as well as discoloration. Aeration is frequently used for treatment of groundwater where it also has additional positive side effects (precipitation of iron and manganese). When treating surface water aeration is useful in adding oxygen to the raw water. Aeration always precedes some other treatment process. The combination of treatment components is determined by the desired result of the treatment.

3.2.1 Range of Application

Aeration equipment is used to intensively mix air and water so as to facilitate the transfer of gases into or out of the water. The following effects can be obtained:

- Addition of oxygen; this may be necessary for surface water where the natural oxygen content was depleted due to the presence of large amounts of organic substances. Aeration contributes positively to subsequent biological treatment (e.g. slow sand filtration).
- Removal of dissolved iron and manganese; iron and manganese are oxidized and form nearly insoluble hydroxide sludges. They can be removed in a settling tank or by means of a coarse filter.
- Removal of excess carbon dioxide (CO2) to prevent corrosion of metal and concrete surfaces.
- Reduction of H2S, CH4 and other volatile compounds which produce objectionable taste and-odor.
- Temperature reduction.


Fig 3: Aeration Filter, Fig 4: Cascade aeration

3.2.2 Aerators

Aeration can be done in various ways. In this manual only those methods are discussed which are simple and facilitate gas transfer. Open aeration is possible by means of spraying the water or running it over surfaces multiple tray aerators or trickling aerators consisting of a series of vertical trays with wire mesh bottoms over which water is distributed and made to fall into a collection basin at the base. The water is dispersed in fine droplets of spray which efficiently take in oxygen from the atmosphere. If the trays are filled with coarse material, such as gravel, the efficiency can be increased.

A cascade aerator is another possible aeration device. A simple cascade consists of a lateral sequence of basins (masonry, concrete or timber) at various levels, the water spilling over from one basin to the next lower one. Total height of the cascade may be between 1 and 6 meters. The large water surface thus created allows simple and fast aeration. Baffles obstructing the flow of the water increase the effect.

If there are only small amounts of iron and manganese to be removed, or if the purpose of aeration is the addition of oxygen, it is sufficient to install a small weir just above the downstream clarifying tank so as to feed the water into that tank through a perforated pipe.

A third method of aeration which is the most efficient of all -and the most expensive and complicated - is based on the principle of diffusion. Water is forced into the air through fixed nozzles. Large contact surfaces for gas transfer are commonly set up above a settling tank or a filter.

Aeration of water usually requires an interruption of the gravity flow of water through -a treatment plant. This means that downstream from the aeration, the water must be lifted once more. Exceptions may be possible in cases of gravity flow with significant differences in altitude (hills).

Small Aerators for Removal of Iron and Manganese

Figure 5 exhibits a simple device for domestic use. It consists of four vertically stacked round concrete pipes (diem. 45 cm) or metal drums (vol. 200 l) which are protected against corrosion. The two top segments are filled with gravel. The third from the top is filled with sand. The bottom consists of wire-mesh or grates. Aeration louvres are placed around the device. A low ph value lime (CaO) is added to the gravel in the upper segments. The device is mounted on a low pedestal made of masonry or concrete.

A handpump lifts the raw water, forcing it through nozzles on to the gravel. The water then trickles through layers of stones and trays. It is collected in the bottom segment and can-be drawn off by means of a faucet. Particles precipitated from the water due to aeration accumulate on the lower sand layer. The latter is to be exchanged once or twice a month.

An aerator of this size is capable of treating some 200 l/h, i.e., some 1400 l/h m².It can be easily modified in size in accordance with the actual needs.


Fig 5: Manual device for removal of iron and manganese; capacity 200 a/h. Sources: [32, 46, 51, 57]

3.3 Sedimentation

3.3.1 Areas of Application
3.3.2 Simple Settling Basins
3.3.3 Design of a Rectangular Settling Tank With Horizontal Flow
3.3.4 Effect of Temperature and Salt Content of the Raw Water and Wind Conditions

Sedimentation is a phenomenon which occurs in nature perpetually. It aids the natural purification of lakes and rivers. Use is made of this physical process in the treatment of water by passing it through settling basins or storage tanks at low and uniform velocities. This constitutes a simple means of reducing the contents of suspended matter and partially of bacteria.

Sedimentation is usually just one of several sequential treatment processes. It can be combined by preceeding it with coagulation and flocculation, and succeeding it with slow sand filtration. Following these procedures, disinfection is required for high bacteria contents.

3.3.1 Areas of Application

Turbidity

Under the influence of gravity, suspended matter in rain water settles out if it has a density greater than that of the water itself. The efficiency of a settling basin depends on the nature (shape, size, density) of the particles that are accountable for the turbidity; gravity, sand and silt, which pollute surface waters heavily and settle easily, especially during the rainy season. Colloidal matter which contributes much to turbidity is held in suspension mainly by electrostatic forces and because of its low density.

Colloidal particles, when brought in contact with coagulants, form flocculent material that can be settled or filtered out. Before designing a settling tank, laboratory experiments should be carried out to determine the contents of settleable and nonsettleable matter. Storage tank inlets should be screened to prevent contamination by gross suspended matter. Tanks should also be covered to protect them from birds and small animals.

Pathogenic Organisms

Simple sedimentation by means of passing water through a settling tank does not achieve a significant removal of pathogens. Two to four weeks storage, though, can reduce bacteria populations considerably (50- 90%) by means of biological processes. Storage in excess of one month can reduce the viral count. The degree of purification depends on the severity of pollution and on the presence of other pollutants. Storage induced contamination (mosquito breeding due to algal growth) must be avoided by covering tanks. Schistosoma larvae, infectious agents of Bilharzia, usually cannot survive more than two days of protected storage, provided suitable hosts (snails) are not present.

Color

Removal of color without the use of chemical procedures can only be achieved by very long storage times.

3.3.2 Simple Settling Basins

Settling basins can be operated either continuously or in batch mode. The choice of method may depend on whether water is readily available and/or must be supplied continuously. Simple methods are available for either mode. The most important considerations are discussed here.

Batch Mode

Batch operation is mainly used if only small amounts of water are to be treated and stor-ed. A settling tank is filled with water, which is retained for between two days and several months, depending on water availability, demand and desired level of purification. When used, the water is drawn off the top, down to a depth which just covers the layer of deposits. This sludge layer at the bottom of the tank is to be removed from time to time. This can be done manually after the tank has been emptied. A tank floor sloping towards the drain greatly simplifies sludge extraction. Tanks can be constructed simply by raising earth embankments, which have to be sealed to prevent seepage. On the household level, clay vessels or other locally available jars can be used. It is important to protect receptacles from contamination: the water must not be taken out with soiled jars. Instead, an outlet spout should be provided. A cover not only protects. Layout and design of settling and storage tanks are determined by the desired retention time and the water demand of the consumers.

Continuous Mode

For larger amounts of water, it is more economical to operate a settling tank continuously. The rain water is slowly and uniformly passed through the tank either horizontally or vertically. The through flow velocity must be kept smaller than the settling velocity of the suspended matter. Horizontal flow tanks generally achieve higher rates of removal for high solids concentrations.

The most common geometric form of sedimentation tanks are circular, square or rectangular. Triangular shapes are possible. Water inlet and outlet are to be positioned such that shortcircuiting is prevented, and the detention time of the water is long enough to allow complete settling of particles.

Circular tanks have radial flow patterns. The water can be introduced either in the center or around the periphery. The clarified liquid is then drawn off in a trough either at the rim or in the center. Rectangular tanks have horizontal flow patterns. Inlet and outlet troughs are provided at the head and tail ends of the tank.

Ideally, the tank may be divided into four distinct zones, each of which acts characteristically different (Fig. 7).

1. Inlet Zone: In this zone, the entering water is spread out uniformly and at low turbulence over the entire cross-section of the tank (Fig. 8).

2. Settling zone: Portion of the tank where sedimentation occurs.

3. Outlet zone: Slow uniform draw-off of the clarified water from the settling zone. The outward progression of the flow shall not disturb the settling prozess.

4. Sludge zone: Collection of the deposits. If the sludge is to slide down by itself, the floor of the tank should be sloped 45º. The draw off occurs at a sludge drain.

The tanks may be built above ground with sealed masonry, concrete, or reinforced concrete. Alternatively, earth basins may be used with vertical or inwardly sloping watertight walls.


Fig 6: Settlement basin impounded by earth embankments


Fig. 7: Sketch of a rectangular settling basin with horizontal flow

3.3.3 Design of a Rectangular Settling Tank With Horizontal Flow (Fig. 7)

Settling tanks are designed such that the reduced flow velocity of the water allows suspended particles to settle out within the settling zone. Generally, the smaller the particles, the smaller their settling velocity(s), i.e., the lower the horizontal flow velocity of the water must be. The necessary design parameters are determined as follows:

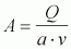
1. Decide on the hourly throughput Q (m³ /h) (see Sec. 2.4.2).

2. In a laboratory test, determine the settling velocity s, also called surface loading rate, of the suspended matter in the raw water. The settling velocity is obtained by measuring the time T (detention time) it takes a particle to drop from the surface to the bottom of the tank at depth H.

s = H/T

s and T are both dependent on the nature of the particles to be removed; s normally ranges between 0.1 and I m/h; for particles with diameter ° = 0.01 mm, the settling velocity is approx. s = 0.6 m/in. If flocculation preceded settling, the aggregated particles settle at a velocity s between 1 and 3 m/in. The detention time T may range between 4 to 12 hours.

3. The volume V of the tank is then determined by the hourly throughput Q, and the detention time:

V = H . B . L = Q . T

This gives S = Q/B + L, where B L is the surface area of the basin. The efficiency or flow capacity of the basin is therefore determined by the ratio of flow rate and surface area of the basin. Ideally, the flow capacity is independent of the depth of the basin.


Fig. 8: Inlet zone of a settling basin (example). The entering water first hits a baffle. It is then passed through a perforated partition wall. Source [57].


Fig. 9: Inlet zone (example). The clarified water leaves the basin flowing over a weir which extends over the entire width of the basin. A slow, undisturbed draw off can be improved by using a sawtooth weir. Another baffle before the weir also quiets the flow.

4. The required geometry of the tank can now be calculated. The following ranges should not be exceeded:

Depth of the tank

1:5 m £ H £ 2.5 m

ratio H/L

1:5 £ H/L £ 1:10

ratio B/H

1:4 £ B/H £ 1:8

5. The horizontal flow velocity, v0, of the water

v0 = Q/B . H

ranges between 3 and 36 m/in. For suspensions with low densities, lower velocities should be chosen. When flocculation precedes sedimentation, higher velocities may be appropriate. Horizontal velocities should be kept low enough, however, to avoid scouring from the bottom of the basin.

6. The weir loading rate is given by the flow rate Q per unit width of the weir, Q/R (m³ /m x h). It should be chosen in the range between 3 and 10 m²/h. An increase in the width of the weir reduces the effluent velocity.

7. The volume of sludge produced in m³ per m² of tank area and per unit of time depends on the characteristics of the raw water and the design, i.e., efficiency of the tank. From this, in turn, the size and slope of the settling zone and the frequency of sludge removal can be determined.

3.3.4 Effect of Temperature and Salt Content of the Raw Water and Wind Conditions

Unfortunately, settling -tanks seldom perform in accordance with the theory. A nonuniform density distribution across the depth of the tank may disturb the settling process. Even small temperature differences (1º C) or changes in the salt content (1 g/l and hour) of the entering raw water will create density currents which reduce the efficiency of the plant. When designing an open basin, wind conditions should be examined, since surface currents induced by wind blowing over the basin affect the basin performance.

3.4 Coagulation and Flocculation

3.4.1 Mechanisms of Coagulation
3.4.2 Coagulants
3.4.2.1 Chemicals
3.4.2.2 Materials of Soil Origin
3.4.2.3 Coagulants of Plant Origin
3.4.2.4 Other Natural Coagulants
3.4.3 Jar Test for Assessment of Proper Dosage of Coagulants
3.4.4 Application
3.4.4.1 Procedure for Alum and Iron Salts
3.4.4.2 Coagulation on the Household Level With Materials of Plant and Mineral Origin

Finely dispersed suspended and colloidal particles producing turbidity and color of the water cannot be removed sufficiently by the ordinary sedimentation process. Adding a coagulant and mixing and stirring the water causes the formation of settleable particles. These flocs are large enough to settle rapidly under the influence of gravity, and may be removed from suspension by filtration. It must be noted that this treatment unit process, although routinely applied in modern water treatment, requires more complex technical equipment and experienced operating personnel. The choice and dose rates of coagulants will depend on the characteristics of the water to be treated and must be determined from laboratory experiments. The chemicals must be readily available and their application must be closely monitored.

At the same time, on the household level, coagulation by means of natural coagulants of plant and soil origin and simple devices has been practiced traditionally by many peoples in developing countries.

3.4.1 Mechanisms of Coagulation

Colloidal particles generally carry a negative electrical charge. Their diameter may range between 10-4 to 10-6 mm. They are surrounded by an electrical double layer (due to attachment of positively charged ions from the ambient solution) and thus inhibit the close approach of each other. They remain finely divided and don't agglomerate. Due to their low specific gravity, they don't settle out.

A coagulant (generally positively charged) causes compression of the double layer and thus the neutralization of the electrostatic surface potential of the particles. The resulting destabilized particles stick sufficiently together when contact is made. Rapid mixing (a few seconds) is important at this stage to obtain uniform dispersion of the chemical and to increase the opportunity for particle-to-particle contact. Subsequent gentle and prolonged (several minutes) mixing cements the still microscopic coagulated particles into larger floes. These floes then are able to aggregate with suspended polluting matter. When increased sufficiently in size and weight, the particles settle to the bottom.

3.4.2 Coagulants
3.4.2.1 Chemicals

It is common practice to use aluminium and iron salts (see Table 8). Both salts hydrolyse when added to water. They form insoluble material -aluminium and ferric hydroxides -when reacting with calcium and mangenese hydrogen carbonates, which are almost always present in water (alkalinity and hard-ness of the water). If those carbonates are not present in sufficient concentration (soft water) hydrated lime Ca(OH)2 or sodium carbonate Na2CO3 may be added also. In the case of aluminium sulphate, these reactions can be represented as follows:

Al2(SO4)3 + 3 Ca(HCO3)2 = 2 Al(OH)3 + 3 CaSO4 + 6 CO2

Al2(SO4)3 + 3 Ca(OH)2 = 2 Al(OH)3 + 3 CaSO4

Al2(SO4)3 + 3 Na2CO3 + 3 H2O = 2 Al(OH)3 + 3 Na2SO4 + 3 CO2

The formation of the insoluble hydroxides depends on the ph: it has been shown that aluminium sulphate coagulates best in a ph range between 4.4 and 6. At higher ph values, higher rates of soluble aluminate ions form.

Sodium aluminate is generally used at medium ph values (6.5 to 8). Irons salts have the advantage of being effective over a wide range of ph values (except for values between 7 and 8.5).

Whereas turbidity is best removed within a ph range of 5.7 to 8.0, color removal is generally obtained at acid ph's of about 4.4 to 6.0. To improve the coagulation and flocculation process and to reduce the dose of coagulants, flocculation aids may be used. The most commonly used material is activated silica. Yet diatome (kieselgur), activated carbon in powder form, bentonite and certain other types of adsorbtive clays, organic substances and cellulose derived materials are also used.

3.4.2.2 Materials of Soil Origin

It was mentioned that mineral substances are used as flocculation aids in modern water treatment. A dose of 10 mg/l of bentonite, for instance, together with 10 mg/l of aluminium sulphate, yield significantly better results than a higher dose of aluminum sulphate alone.

In rural households in developing countries, however, various naturally occuring materials are traditionally used as coagulants (see [62,65]): e.g., fluvial clays from rivers and wadis (in Sudanese Arabic called "rauwaq", clarifier), clarifying rock material from desert regions, earth from termite hills. Their main constituents are quartz, montmorillonite, kaolinite, calcite and feldspar; their coagulating mechanisms differ greatly from those of metal salts. The processes and reactions which occur upon the addition of these various mineral coagulants to waters of different quality are not yet sufficiently known. This makes it difficult to specify optimal application procedures and conditions. Case by case examinations are required.

Application of clay as a coagulant yields the following results:

- reduction of turbidy;
- no effect on ph value;
- an initial mineral taste, later on normal;
- no effect on bacteria count (more conclusive research is not available).

Potential health hazards:

- Clays contain traces of heavy metals (mostly chromium and manganese). High intakes of these metals may have toxic effects;
- viruses survive in the settled sludge.

3.4.2.3 Coagulants of Plant Origin

Such substances are widely used in developing countries to purify water. Usually the plants are not cultivated. Rather, according to passed on experience, certain substances are gathered, prepared and added to the water that is to be purified; seeds, leaves, pieces of bark, roots, fruit extracts and plant ashes. Some examples of traditionally used coagulants and coagulant aids as described in the literature [61-65] are:

- seeds from the Indian Nirmali tree (strychnos potatorum);
- seeds of the trees of the family of the Moringaceae: Moringa Olifeira, occurring in India, Senegal, Sudan (Behenus tree) and Moringa Stenopetala, Kenya;
- sap from the stem of the tuna cactus (opuntia ficus indica) occurring in Peru and Chile: two commercially available extracts are Tunaflex A and B,
- the bark of the south American tree Schinopsis Quebracho-Colorado? which contains tannin: it is known commercially as "Floccatan ;"
- potato starch.

For most of these plant materials, it is not known which particular substance actually triggers the coagulation. Neither is it known whether there are toxic side effects from frequent use.

To obtain the optimal dose for various substances and raw water qualities, coagulation experiments must be carried out; generally this dose is smaller than that of aluminum sulphate.

For coagulation with Moringa Olifeira seeds, the following effects can be obtained,

- significant reduction of turbidity;
- pleasant taste;
- unchanged pH value;
- initial reduction of the bacteria count, followed by a secondary rise after only 24 hours, reaching or even surpassing the initial concentration;
- antibiotic effect on various bacteria and fungi.

Nirmali seeds and Tunaflex as natural coagulants and aid substances combined with alum salts have been successfully used in municipal water treatment. It was shown that substantial savings in primary coagulants could be achieved which, in turn, reduced the overall cost considerably.

3.4.2.4 Other Natural Coagulants

- Algae-derived substances;
- Chitosan, acting faster than any known coagulant from plant materials (produced from the shells of shrimp and lobster);
- dough from millet bread (Sudan) or curds (thin layers).

3.4.3 Jar Test for Assessment of Proper Dosage of Coagulants

Coagulation and flocculation processes are dependent on a multitude of variable interrelated factors: temperature! turbidity, color, pH-value, alkalinity, nature of coagulant and intensity and duration of stirring during mixing and flocculation. The optimal dose of the coagulant cannot be found by analyzing the raw water. Rather, it must be determined by an experiment on laboratory scale (approximation of real conditions). Such a test ought to follow this procedure:

1. Measurement of color, turbidity, pH-value and alkalinity of raw water.

2. Addition of the coagulant in different dosages to six samples of 1000 ml each (e.g. 10, 20, 30, 40, 50, 60 mg/1 of a 1% aluminum sulphate solution).

3. High speed stirring initially for 2 minutes and low speed stirring for some 20 minutes using a laboratory mixer.

4. Allow the water to settle (up to 1 hour).

5. Measurement of color and turbidity of the clarified water. Identify samples showing optimal result as regards dosage of coagulant.

A second test can be carried out for the optimal ph-value for flocculation. The same procedure is followed as before. This time however, different amounts of calcium hydroxide or sodium carbonate are added together with the optimal dose of the coagulant as found in the first test. The resulting range of pH values should extend from 4.5 to 8.5. After stirring, flocculation and sedimentation, the optimal pH-value is determined from the samples.

3.4.4 Application

In this paragraph coagulation in larger scale treatment operations is described, outlining simple techniques. Also coagulation by means of natural materials at the household level is discussed.

3.4.4.1 Procedure for Alum and Iron Salts

1. In a test the required dose of the coagulant is determined. The pH-value is adjusted.

2. The coagulant solution is prepared. Usually the coagulant is introduced in a solution or suspension of known concentration (3-7%). Jars made of resistant material are to be used (see Table 8). Addition of the coagulant in solid form is also possible.


Fig. 10: Dosing device for continuous feeding of coagulant solution.

3. Constant dosing of the coagulant by means of an adequate closer. A dosing apparatus should be used (such as those for chlorine dosing) which delivers a constant yet adjustable dose rate. A simple example is exhibited in Fig. 10.

4. Immediate rapid mixing: Upon the addition of the coagulant, rapid mixing and dispersion must be provided for between I and 5 minutes. In fact, hydrolisis and polymerisation occurs almost instantly. Also, the destabilization of the colloids takes very little time. Principally, there are two practical methods:

- hydraulic mixing: channels, weirs or hydraulic jumps are used to create turbulence. At appropriate points the coagulant is introduced (Fig. 11 );

- mechanical mixing: electrically driven mixers create a uniform dispersion. This requires a reliable supply of electricity and maintenance. Also, mechanical parts are susceptible to wear. This is why the former method is preferable.

5. Flocculation: slow and even mixing allows the particles to collide and contact so as to form flocs (30-60 minutes). The efficiency of floc formations is contingent on the frequency of particle-to-particle contact. - hydraulic mixing: this can be done by routing water through a vertically or horizontally baffled flocculation basin. The resulting turbulence has a mixing effect (see Fig. 12). It must be noted that this method does not allow any adjustment or control in case of changing characteristics of the water quality.

- mechanical mixing: flocculation takes place in tanks equipped with an electrically driven stirring system. This stirring system consists of screws, paddles or blades mounted on vertically or horizontally rotating shafts.


Fig. 11: Hydraulic mixing in water flow. a) channel with baffles, b) overflow weir, c) hydraulic jump.

6. In the sedimentation tank, the particles are allowed to settle. Or, alternatively, they are removed by filtration.

In order to obtain optimal coagulation and flocculation performances, a number of design considerations must be followed: after finding the required dose of coagulant through experimentation, the flocculation and mixing chamber must be hydraulically designed. Approximate speed and duration of mixing, flow velocity, hydraulic profile and detention time of the particles in the tank must be determined. This procedure, however, is more suited to the design of larger scale plants. Smaller plants usually operate without these more sophisticated engineering solutions, e.g.:

- the introduction of the coagulant may be made in the feeder pipe preceding a rapid filter;
- the addition of the coagulant may be made at the point of the inlet weir to the sedimenation basin.


Fig. 12: Hydraulic mixing in flocculation tank. a) vertical, b) horizontal flow.

3.4.4.2 Coagulation on the Household Level With Materials of Plant and Mineral Origin

The following are standard recipes for coagulation with locally available materials which may be modified according to the specific conditions.

The doses for the coagulant are best determined by experiments. Locally used jars, e.g., clay vessels, may be used for the purification process For mixing, wooden twirling sticks would be appropriate.

After the floes are settled, the supernatant water is to be transferred carefully into a clean jar. To avoid secondary pollution by unhygienic contact with a jug, the water could be scopped out with a ladle or syphoned off into a nearby vessel. The purified water should be consumed within a few hours, so as to avoid renewed contamination due to temperature-induced growth of bacteria. Even better, is to boil the water prior to consumption or to disinfect it by some other method.

The settled mud on the bottom of tile jar is to be collected carefully. It should be exposed to the sun for some time (several days) to assure that potentially existing pathogens be destroyed completely.

Coagulation with fluvial clay

Dose of coagulant: 3.5 g/l (rauswaq). For a 40 l capacity jar, this translates into 140 g (1 teaspoon of the pulverized clay corresponds to 2.5 -3 g).

1. Dried clay is pounded to powder and added to water (possibly clarified) in a small bowl.
2. The suspension is added to the turbid water.
3. Very slow stirring of the water for about 5 min.
4. Jar is covered and the water left to settle.

Coagulation with seeds of Moringa Olifeira

Dose: 150 -200 mg/l. For a jar of 40 l capacity this translates into 30 seeds.

1. After removing the seed husks, the white kernel material is crushed in a clean mortar or a stone covered with a piece of clean cloth. The powder must be prepared fresh before every use. Humidity causes deterioration.

2. The power is then dissoleved in a small amount of clarified water and a suspension is prepared.

3. The suspension is added to the raw water under short and rapid mixing (coagulating).

4. Gentle and slow stirring follows (for flocculation, 10 to 15 min).

5. Finally, the water is left covered in the jar to allow the floes to settle.

3.5 Filtration

3.5.1 Rapid Filtration
3.5.1.1 Principle Mechanisms
3.5.1.2 Range of Application
3.5.1.3 Types of Rapid Filters
3.5.1.4 Conventional (Downflow) Filters
3.5.1.5 In Upflow Filter
3.5.1.6 Coarse Filters
3.5.1.7 Household Size Rapid Filter
3.5.2 Slow Sand Filtration
3.5.2.1 Mechanisms of Filtration
3.5.2.2 Range of Application
3.5.2.3 Design of a Slow Sand Filter
3.5.2.4 Construction
3.5.2.5 Operation and Maintenance
3.5.2.6 Modifications

Filtration is the deliberate passage of polluted water through a porous medium, thus utilizing the principle of natural cleansing of the soil. This widely used technique in water treatment is based on several simultaneously occurring phenomena:

- mechanical straining of undissolved suspended particles (screening effect);
- charge exchange, flocculation adsorption of colloidal matter (boundary layer processes);
- bacteriological-biological processes within the filter.

Filters may be divided into two principally different types:

- slow sand (or biological) filtration (v = 0.1 to 0.3 m/h),
- rapid filtration (v = 4 to 15 m/h).

In-between types also exist. Depending on the filtration rate, different mechanisms are operative within the filter. Resulting from this is a variety of possible applications of the various types of filters. Several of them are discussed in the subsequent sections.

Generally, a filter consists of the following components:

- filter medium (inert medium: quartz sand; or chemically activated medium: burnt material),
- support bed (gravel) and under-drain system,
- influent and effluent pipes, -wash and drain lines, -control and monitoring appurtenances.

3.5.1 Rapid Filtration

3.5.1.1 Principle Mechanisms

Rapid filtration is mainly based on the principle of mechanical straining of suspended matter due to the screening effect of the filter bed (sand, gravel, etc.). The particles in the water pass into the filter bed and lodge in the voids between grains of the medium. It is because of this phenomenon that rapid filters are sometimes called space filters. The cleaning of the rapid filter is facilitated by backwashing i.e., by reversing the flow direction; a backwash may be conducted simply with water or by use of a water-air mix (upward air scour). The impurities are thus dislodged and removed from the filter bed. Also operative to some degree in rapid filters are boundary layer and biological mechanisms - their extent largely depends on the filtration rate' filter medium, depth of the filter bed, and quality of the raw water.

The performance of a rapid filter regarding the removal of suspended matter is determined by the following filtration process variables and parameters:

- filtration rate (v),
- influent characteristics, i.e., particle size, distribution, etc.,
- filter medium characteristics which control the removal of the particles and their release upon backwashing, respectively.

Generally, it is true that the treatment effect can be improved by:

- reduced filtration rates,
- smaller granulation size of the filter medium,
- increasing depth of the filter bed, -increasing size of the floes,
- decreasing concentration of particles to be retained.

3.5.1.2 Range of Application

The range of application of rapid filtration and its performance when combined with other treatment processes is illustrated in Table 9.

3.5.1.3 Types of Rapid Filters

There is a large variety of possibilities as re-yards setup and operation of rapid filters. They are generally divided into two categories. The majority of filters used for the treatment of drinking water are open, usually concrete built, filters. They operate with atmospheric pressure and at filtration rates between 4 and 8 m/h. Pressure filters are enclosed and usually made of metal. They operate under (higher than atmospheric) pressure at filtration rates between 8 and 1 5 m/in.

Both types can again be classified into subcategories, according to the flow of the water:

- vertical, downward filtration, downflow, -vertical, upward filtration, upflow,
- horizontal, axial or radial,
- biflow or dual flow.

Finally, the types of filter beds may be classified according to the structure of the filter media:

- single medium, fine grain (deff = 0.5-1.5 mm) or coarse grain (deff 610 mm),
- single medium, decreasing grain size in the direction of the flow,
- multiple media, bed stratification with decreasing grain size in the direction of the flow.

The range of common filter beds is between 1 and 2 m. The operating head is between 1.5 and 2.5 m. The required filter surface area can tee' determined according to the following relationship:

(see 3.5.2.3)

A: surface area (m²), v: filtration rate (m³/ m² . h) = (m/h); Q: throughput of water per hour (m³ /h); a: operating hours per day.

Table 9: Treatment Effect of Rapid Filters and Possible Combinations with Other Unit Processes

Water Quality Parameters

Purification Effect

Coarse particles of organic origin up to 250 mg/l

Removal at high filtration rates, using coarse filter material (backwashing is simple).

High turbidity due to gravel, sand or mud.

Removal by rapid filtration, preceding sedimentation is recommended.

Low turbidity up to max. 100 NTU

Direct rapid filtration.

Colloids

Difficult to remove;

- low concentration

Addition of coagulant to inflowing water prior to sedimentation; flocs are retained by the filter; backwashing is difficult.

- high concentration

Preceding coagulation/flocculation and sedimentation in separate tank, rapid filtration

Bacteria of fecal origin, eggs of parasites

Removal of some 50 % at low filtration rate and fine material, subsequent disinfection is required.

Iron and manganese contents up to 25 mg/l

Precipitated compounds are removed upon aeration (see Fig. 5).


3.5.1.4 Conventional (Downflow) Filters

Rapid filtration is a rather complex process. It is demanding and expensive in design and operation. This is due to the need for frequent filter washing which requires elaborate backwashing systems. Additional complexities associated with the generation of pressure arise for pressure filters. Monitoring, operation and maintenance of these filtration plants require well-trained personnel. Combined with coagulation, flocculation and sedimentation, rapid filtration is a very efficient treatment process for the removal of impurities. However, it should only be used in larger plants and at well equipped sites.

For smaller plants in rural areas, simple rapid filters -without backwashing capabilities - are recommended. A number of filter types operating at filtration rates lower than those for conventional filers are discussed hereinafter. Generally, they serve as pretreatment units to reduce the turbidity of the water. The removal of pathogens requires, in addition, either slow sand filtration and/or disinfection.

3.5.1.5 Upflow Filter

In upflow filters, the direction of flow of the raw water is upwards through the filter bed. Backwashing is done by abrupt reversal of the flow direction. The effect of the filter depends on the type of the filter medium, the filtration rate, and possible preceding aeration or addition of a coagulant. For coarse organic and inorganic substances, the filter may act as a simple screen. Or else it may retain precipitated iron compounds.~At low filtration rates and sufficient oxygen content of the raw water, biological activity can be observed.

The advantages of upflow filters as compared with gravity rapid filters are:

- can be constructed from locally available materials,
- quality requirements (uniformity and gradation) and volume of the filter medium are lower. Instead of sand, gravel, crushed bricks, coconut and other type fibers can be used,
- longer filter runs,
- better turbidity removal.

Upflow filters can be constructed at a variety of degrees of complexity. A rather simple type can be built from a 200 a-drum. It can be equipped with a raw water inlet pipe, a somewhat larger size drain at the bottom, and an outlet pipe for the clarified water near the top of the drum (see Fig. 13).

Filtration effect: Reduction of between 50 and 70% of organic and inorganic coarse and fine particles, slight reduction of bacteria.

Filter output: up to 230 a/h.

Filtration rate: 0.5 to 1.5 m/in.

Filter medium: Coarse sand, grain size between 3 and 4 mm diameter.

Filter bed depth: 0.3 m.

Support layer and underdrain: gravel covered by perforated metal tray. Cleaning:

Shut off of the inlet. Quick removal of drain stopper so that supernatant as well as water in the filter bed drain out together with retained particles.

Cost: for drain, send, pipes, tap and stopper.


Fig. 13: Upflow filter made from a 200 a drum. Source [46, 70].

As a rule, cleaning of the filter which takes no more than ten minutes should be done every day. This is a simple means of preventing the filter bed from clogging. The 200 l drum has a capacity to filter up to 230 l/h. As bacteria cannot be sufficiently removed, subsequent disinfection is indispensible in case of bacterial water contamination. This filter can also be combined with the slow sand filter introduced in section 3.5.2.6.

Hence; the performance and technical complexity of this simple upflow filter can be increased as much as one likes. It must be noted though that higher filtration rates result in higher buoyancy forces on the filter medium. The top layer of the sand may be spewn up. This can be avoided by covering the filter bed with a metal grate or by raising the depth of the filter bed. In the latter case' though, backwashing by means of simply draining the water in a reversed direction may become increasingly impossible. Conventional backwashing capability may have to be added.

Better results may be obtained by using smaller grains and stratified filter beds with decreasing grain size from bottom to top (e.g., 0.7 to 2 mm over a depth of I to 1.5 m).

3.5.1.6 Coarse Filters

Rapid filters preceding slow sand filters are frequently used to retain coarse particles and to sufficiently reduce turbidity. Coarse sand, gravel or plant fibres are used as a filter medium. It can be replaced upon cleaning.

Such prefiltration can be done either horizontally or vertically. The filtration rates for a coarse filter are lower than those for a conventional rapid filter.


Fig. 14: Coarse filtration followed by slow sand filtration


Fig. 15: Coarse filter with horizontal flow. Source [83]

Gravity rapid filter as coarse filter (Fig. 14)

Filtration effect:

Reduction of turbidity by between 50 and 80% (max. load 250 NTU)

Filtration rate: 0.5 to 1.0 m/h

Filterbox: same as slow sand filter

Operating head: 1.0 to 1.5 m.

Filter medium: coarse sand, gravel, shredded coconut fibres.

Two or more layers of different material possible (coarser material up top and finer material below).

Filter bed depth: 0.8 to 1.4 m.

Drainage system: same as slow sand filter.

Cleaning: replace medium completely when head loss exceeds certain value, i.e., when too big (approximately once every 3-4 months).

Horizontal flow coarse filter

This type of treatment process unit which has the water flowing horizontally through the filter medium exhibits a combination of filtration and sedimentation effects. The concentration of suspended particles in the raw water can be reduced significantly. The water thus attains a quality which is satisfactory for subsequent slow sand filtration. Moreover, after a certain time of maturation' a biological film forms on the surface of the stones.

Filtration effect: Reduction of turbidity by between 50 and 70% (max load 150 NTU), reduction of bacteria by approx. 80%.

Filtration rate: 0.5 to 1.5 m/h (max 2.0 m/h).

Filter box: rectangular, similar to settling tank (design: see 3.3.3).

Length: 4 to 10 m width, according to Q/L v = B, floor slope toward drain 1:100.

Filter medium: crushed stone and gravel, divided into zones of different grain size, sequentially graded in coarse-fine-coarse pattern (diameters between 4 and 30 mm).

Cleaning: Since clogging of the filter builds up rather gradually, cleaning may only be necessary after several years of operation. The filter may be cleaned by removing the medium, washing it and putting it back in place.

3.5.1.7 Household Size Rapid Filter

Household filters can be made from sand or gravel of different grain sizes, from ceramics, porcelain or other fine porosity materials. They basically operate on the principle of mechanical straining of the particles contained in the water The filter performance depends on the porosity of the filter medium. Through additives in the filter material, additional effects can be obtained (adsorption, disinfection).

Multiple layer filter

Using metal drums, plastic containers or clay vessels and filling them with several layers of sand, gravel or charcoal, simple household filters can be put together. They do not perform well at removing pathogens, though. After filtration, the water therefore needs to be disinfected.

Charcoal adsorbs organic substances which cause disagreeable color and taste.* This effect can only be sustained, however, if the charcoal is frequently renewed. If this is not possible, for whatever reason, or if the filter (empty or filled with water) is left unused for some time, the charcoal can become a breeding ground for bacteria. The result is that the filtered water exhibits a higher bacteria count than the raw water. Monitoring of the filter condition is rendered more difficult by the fact that there is no visual indication given for the point when the charcoal should be replaced. Charcoal cannot be regenerated. It is for these reasons that the use of filters with charcoal media is not recommended.


Fig. 16: Multiple layer filter

Ceramics filter

On the household level ceramics filters may be used for the purification of drinking water. If there are native potters, the filter can be manufactured locally. Otherwise they can be readily obtained from various commercial manufacturers.

The purifying agent is a filter element, also called candle, through which the water is passed. Suspended particles are thus mechanically retained, and, depending on the size of the pores, also pathogens. Ceramics filters should only be used if the water is not too turbid, as the pores clog rather quickly.

Ceramics filter elements can be made from various different material compositions (e g., diatomaceous earth, porcelain); they have pore sizes of between 0.3 and 50 ,u. If the pore size is smaller than or equal to 1.5,u all pathogens get removed with certainty. Post treatment of the water prior to consumption is rendered unnecessary.

Filters with larger pores only retain macroorganisms such as cysts and worm eggs. The filtered water must be boiled subsequently or otherwise disinfected

The impurities held back by the candle deposit on the candle's surface. At regular intervals, this coating can be brushed off under running water. After the cleaning, the candle should be boiled. Candles made from diatomaceous earth which contain silver, have the advantage that recontamination of purified water due to infestation of the filter material with bacteria laden washing water can be avoided (see also section 3.6.5).

Depending on their type, ceramics filters can be operated in the following ways:

- gravity filter (Fig. 17 and 19),
- siphon filter (Fig. 18),
- pump filter,
- pressure filter.

Filters operating at atmospheric pressure exhibit a very slow rate of percolation. This can be increased considerably by forcing the water through the medium. Ceramics filters must be handled with care. From time to time they must be checked for fissures so as to prevent the water from passing through the medium without being filtered.


Fig. 17 Household filter with candle (gravity filter). The filtration rate depends on the filter material, the pore size and the nature of the particles to be retained.


Fig. 18: Siphon filter. Filtration is started by sucking the water by mouth into the siphon system


Fig. 19: Clay filter (vessel, insert, lid) measured in cm. Source [67]

Clay fillers treated with silver (Fig. 19)

This small household filter is manufactured in local potteries in Central America. It consists of a cylindrical clay vessel (diameter 28 cm, height 40 cm) equipped with a lid and an insert (holds 7.2 a). Tests carried out in Guatemala yielded excellent results as regards the removal of bacteria. Two alternative filter elements with different material composition are available.

The raw water, poured into the insert, trickles through its walls. The filtered water is collected in the lower part of the vessels, where it can be released at will.

Filter elements:

Alternative A:

Filtration rate: 2.14 a/day

Filter element (composition): 55 -65% loam, 30 -35% crushed feldspar, 5-10% sawdust

Treatment: colloid silver (3.2% Ag)

Longevity: 1 year

Cost of the filter (Guatemala 1980): U.S. $ 7.70

Alternative B:

Filtration rate: 1.97 a/day

Filter element (composition): 55-70% loam, 20-40% sand, 5-10% sawdust

Treatment: Colloid silver (3.2% Ag)

Longevity: 1 year

Cost of the filter (Guatemala 1980): U.S. $ 7.63

The filter insert can be treated as follows: Prepare a solution of 6.1 ml colloid silver in 200 ml of clean water and lay it on the filter element by means of a brush or a sponge. Finally, let the filter dry for 24 hours. The first two filter runs are to be discarded.

If feldspar is available, it is recommended to follow alternative A, to produce the filter, since its filtration rate is higher. In this case, silver is the only component which must be imported. Though it represents the most expensive part of the filter, it is needed to achieve disinfection.

Cartridge microfilter

Besides ceramics filters, other microfilters made from fine porosity materials are also available: synthetics, paper, felt-like material (pore size between 25 and 50 ,u). They are inserted into a bell-like filter device, which is mounted on the top of a water pipe. When the filter material becomes clogged, i.e., used up, it must be discarded and replaced new. Even though these filters are cheaper to purchase than ceramics filters, their use is more expensive, since the filter material cannot be regenerated.

3.5.2 Slow Sand Filtration

Slow sand filtration is accomplished by passing raw water slowly - driven by gravity through a medium of fine sand. On the surface of the sand bed, a thin biological film develops after some time of ripening (different from the rapid filter). This film consists of active microorganisms and is called "Schmutzdecke", or filter skin. It is responsible for the bacteriological purification effect. The slow sand filter is therefore also called "surface filler'' or biological filter.

3.5.2.1 Mechanisms of Filtration

The principle purification processes taking place during slow sand filtration are:

Sedimentation:

The water body sitting on top of the filter bed acts as a settling reservoir. Settleable particles sink to the sand surface.

Mechanical straining:

The sand acts as a strainer. Particles too big to pass through the interstices between the sand grains are retained.

Adsorption:

The suspended particles and colloids that come in contact with the surface of the sand grains by following the passage of the water are retained by:

- adhesion to the biological layer (Schmutzdecke),
- physical mass attraction (Van der Waals force), and
- electrostatic and electrokinetic attractive forces (Coulomb forces).

On account of these forces, an agglomerate of opposite charged particles forms within the top layer of sand. This process needs some time of ripening to fully develop.

Biochemical processes in the biological layer:

- partial oxidation and breakdown of organic substances forming water, CO2 and inorganic salts,
- conversion of soluble iron and manganese compounds into insoluble hydroxides which attach themselves to the grain surfaces,
- killing of E. Coli and of pathogens.

Organic substances are deposited on the upper layer of sand, where they serve as a breeding ground and food for bacteria and other types of microorganisms (assimilation and dissimilation). These produce a slimy, sticky, gelatinous film which consists of active bacteria, their wastes and dead cells and partly assimilated organic materials. The dissimilation products are carried away by the water to greater depth. Similar processes occur there. The bacterial activity gradually decreases with depth. Different types of bacteria are normally found at various depths.

Algae can contribute to the breakdown of organic material and bacteria. They can improve the formation of the biological layer (filter skin). In uncovered filters, growth of algae is driven by photosynthesis. The presence of large amounts of algae in the supernatant reservoir of a filter generally impedes the functioning of the filter. Dead cell material may clog the filter. Increased consumption of oxygen due to the presence of dead cell material increases the possibility that anaerobic conditions will occur. There is always a diurnal variation in the oxygen content due to growth and decay of the algae mass. When algae growth is strong, the algae must be either removed regularly or the filter must be covered.

The conditions necessary for those biochemical processes are:

- sufficient ripening of the biological layers,
- uniform and slow flow of water through the filter, approx. 0.1 to 0.3 m/in,
- a depth of the filter bed of 1 m (0.5 m is needed solely for the biochemical process) of specific grain sizes,
- sufficient oxygen in the raw water (at least 3 mg/l) to induce biological activity.

3.5.2.2 Range of Application

Table 10: Range of Application of Slow Sand Filters According to Raw Water Quality

* At MPN-Contents Greater than 1000 E. Coli/100 ml, Raw Water Should Subsequently Be Disinfected

Water Quality Parameters

Purification Effect

Bacteria

Pathogenic bacteria and E. Coli removed at 99 -99.9 %*; cysts, helminth-eggs and Schistosoma-larvae removed completely.

Viruses

Complete removal.

Organic substances

Complete removal.

Color

Partial removal.

Turbidity

Significant reduction; average turbidity of raw water should not be greater than 10 NTU. At higher turbidity, pretreatment necessary to prevent clogging of filter.

Substances difficult to degrade biologically

e.g., detergents, phenoles, pesticides. Only minor degradation possible.

Reference is made to Table 10.

It is worth noting that microbiological processes and chemical activity are very sensitive to changes in temperature. Both slow down under conditions of low temperature. A reduction in filtration rate can compensate for this effect. Under prolonged cold conditions, the filter should be covered to prevent heat loss, and subsequent disinfection should be provided.

3.5.2.3 Design of a Slow Sand Filter

1. Determine the daily demand for treated water, Q (m3/d, m3/h, peak flows), (see section 2.4.2).

2. Choice of the filtration rate v (m3/m² + h = m/h).

3. Determination of the number of daily operating hours, a. Aside from shutting down the filter completely (overnight), it is possible to operate it for a few hours a day (factor b), while the inlet valve is closed and the outlet valve is open (mode of decreasing filtration rate -see section 3.5.2.5).

4. Parameters a and b are related to the total filtration area as follows:

b = 0 for continuous operation,
b = 0.5 for 8 hours of daily uninterrupted operation,
b = 0.7 for 16 hours of daily uninterrupted operation.

The ratio of length to width should be in the range between 1 and 4.

5. Determine the number of filters n. There should be at best two filters, so as to have a reserve during down time of one (due to cleaning or ripening period).

The required area per filter is thus obtained by dividing the total area A by the number of (equal size) filters, A/n. The filtration rate for each filter for parallel operation is given by

6. The sizing of the subsequent storage capacity and of the distribution system is to be carried out in accordance with the daily water demand.


Fig. 20: Diagrammatic form of a slow sand filter. Source [80]. A. Raw water inlet, B. Overflow, C. Outlet for supernatant (for cleaning), D. outlet for water from filter bed (for cleaning), E. gauge of flow rate, effluent (filtration rate v), F. valve for controlling the filtration rate, G. inlet for filling with clean water after cleaning, H. effluent weir, I. effluent valve, J. drain (during start up).


Fig. 21: Flow chart of a slow sand filter

3.5.2.4 Construction

Filter box

The smaller the size of a filter unit, the simpler its construction. It must be noted, however, that both the risk of leakage (along edges) and initial capital cost per square meter decreases with the size of the unit. For filter lengths greater than 20 m, the design becomes more complicated because of the hydrostatic pressure. The walls must be watertight.

Table 11: Construction Characteristics of Various Tank Geometries

Form

Tank Location

Size (m)

Slope

Walls Material

Thickness (m)


Earth basin

ø 1-10

Vertical

Concrete or Masonry

0.2-0.3

Round


ø 1-5

Vertical

Ferro-cement

0.06-0.12


In/above ground

All sizes

Vertical

Reinforced concrete

0.15-0.2

Rectangular or square

Earth basin

L and B

Sloped

Masonry

0.1



2-20


Sealed earth

0.05





Concrete

0.08





Sand/cement mix

0.08

Rectangular or square

In/above ground

AH sizes

Vertical

Reinforced concrete

0.25


Earth basins

Small sizes

Vertical

Masonry, concrete

0.2-0.3

Table 11 shows design characteristics for different filter geometries. It must be noted that:

- Earth tanks with sloped side walls have the advantage of lower initial costs. No particular skills are required for the workers to do the excavation. At high groundwater levels, the walls must be absolutely watertight (mainly to prevent the flow of potentially contaminated groundwater). Access to pipework and appurtenances is relatively more difficult.

- Tanks with vertical walls should extend at least 0.3 m into the ground and another 0.5 m above ground. The deeper the tanks reach into the ground, the more favorable the pressure balance that acts on the walls. - Circular shapes are used for small units. Rectangular tanks lend themselves to forming batteries of filters. They are therefore well suited for expandable larger systems.

- It is important for the tank to have a rigid base. The edges between base slab and walls must be watertight. Artificial roughening of the inner wall faces greatly reduces the risk of raw water leaking past the sand.

- Provisions should be made for the tank to receive a cover, if necessary, in order to control algal growth and prevent pollutants from entering due to rain, wind, vermin, etc.

See Table 12 regarding filter beds.

Table 12: Filter Medium -Structure and Materials

SUPERNATANT

Depth: At least 1 m, up to 1.5 m.

FILTERBED


Medium:

Sand (washed), or other locally available material (e.g., rice husks), several layers possible.

Depth:

At least 0.7 m, better: 1.0-1.5 m.

Grain Size:

Effective size (E.S.): 0.15-0.35 mm.


Uniformity coefficient (UC): 2, max. 5.


Larger sizes reduce the effectiveness and increase the required depth of the filter bed.

SUPPORT LAYER


Material:

Coarse sand or gravel: several layers with grain size increasing with depth. Prevents escape of filter medium into drainage system, and blocking.

Depth:

0.1-0.4 m (in accordance with drainage system).

DRAINAGE SYSTEM

Collection of filtered water towards outlet, alternatively:


- layer of gravel or crushed rock; grain size 25-50 mm; depth, 0.15 m


- system of bricks, concrete slabs or porous material. See Fig. 22: lateral drains and main drain sloped toward outlet.


- system of perforated pipes, water and pressure-proof materials: PVC, cast iron, asbestos cement, locally available porous material (Fig. 23).


Fig. 22: Drainage system consisting of bricks [83]. The system can be arrayed such that the main drain runs along the sideof the tank.


Fig. 23: Under-drainage system consisting of perforated pipes

Inlet Zone

The inlet zone of the tank should be designed such that the entering raw water spreads out evenly over the filter bed. Turbulence must also be avoided in order not to stir up the biological layer. This can be achieved best by admitting the water just above the filter bed at a velocity of 0.1 m/in. To prevent scouring near the inlet, a concrete plate may be placed on top of the filter bed (see Fig. 24, b).


Fig. 24: Different design arrangements for their inlet zone of a slow sand filter

If no extra provisions are made, the inlet of the raw water can also serve as the drain for the supernatant for the purpose of cleaning. Since for each cleaning of the filter, the top layer is scooped off, the surface of the filter bed drops more each time. It is therefore more practical to have a vertically adjustable sill along the inlet trough to control inflow and head over the filter (see Fig. 24, a).

The width of the inlet should not be less than Q/20. Sufficient aeration of the entering water can be obtained by means of uniformly spraying or trickling of the water over cascades.

Outlet Zone

The outlet zone is generally arranged so that a weir controls the effluent. It is common that the crest of the weir is placed some 0.1 m above the level of the filter bed (Fig. 25). The purpose of the weir is, among other things, to prevent the filter from running dry. The filtration rate can be controlled by valve F. The effluent weir also serves the purpose of aerating the filtered water. In case of an enclosed weir chamber, adequate ventilation must be provided for air to enter and for gases to escape.


Fig. 25: Diagram of outlet chamber of a slow sand filter

3.5.2.5 Operation and Maintenance

A major advantage of slow sand filters is that operation and maintenance of a well-designed and constructed filter is rather simple. Unskilled personnel can be easily trained. The references in the following sections pertain to Fig. 20.

Initial commissioning of a filter

1. First, with all outlet valves closed, the filter must be charged with filtered water, introduced from the bottom (G) to drive out the air from the voids of the filter bed. This is continued until the whole bed is covered sufficiently (0.1 m) to prevent its being scoured or disturbed by turbulence from the admission of raw water through A.

2. Backfilling valve G is closed, raw water is admitted through A, until the desired working level for the supernatant is reached.

3. Valve J is opened to release filtered water at a filtration rate of one-fourth of the design rate (controlled by efluent regulating valve F).

4. During the start-up period, while ripening of the biological layer proceeds and reaches its full effect, the filtration rate is gradually increased by way of valve F until the desired rate v is attained. The cleaner the raw water, the longer the ripening process will take.

5. From time to time, chemical and bacteriological analyses of raw water and effluent must be taken to monitor the ripening process of the filter.

6. When the filter is in full working condition (see from analyses -from a few days to several weeks) valve J may be closed and valve I opened to feed the clear well. Until then, the water is either run to waste or returned to the raw water.

Normal operation

1. Normal throughflow: The filtration rate is controlled jointly by valves E and F. Initially, F is all but closed. It is opened gradually as the filter head loss increases so as to maintain a constant rate of filtration. The increase in bed resistance is due to a gradual accumulation of retained impurities in the interstices of the filter bed.

2. Operation at decreasing throughflow: This mode of operation' which is well suited for overnights, reduces the required number of personnel and related costs. The raw water inlet is closed, and the outlet remains open. Consequently, the head of the supernatant drops and the filtration rate decreases. The efluent weir should be fixed at such a height as to prevent the supernatant from dropping below a certain minimum depth (e.g., 0.2 m) above the filter skin (Schmutzdecke). When this period is terminated, raw water should be admitted quickly.

3. Temporary shutdown: Close both inlet and outlet valves. (The necessary quick-closing valves must be provided.) It is preferable to continue filtration and divert the effluent to waste or other use since a shutdown of the filter causes a deterioration of the quality of the biological agents (filter skin, etc.).

Filter Cleaning

1. When the filtration rate starts to drop at fully opened regulating valve F, it is time to clean the filter bed.

2. A, I, F valves are closed, C opened to allow the supernatant to drain off. Alternatively, the foregoing mode of operation for decreasing throughflow could be chosen.

3. By opening valves F and particularly D (waste valve) the water within the bed is lowered still further until it is some 0.2 m below the surface.

4. The filter skin and the surface sand adhering to it (top 1.5 to 2 cm of filter) are stripped off quickly and carefully so as not to pollute or disturb the filter to a greater depth.

5. Refilling the filter box follows the pattern described for initial commissioning. Only a day or two will be necessary for reripening (water analysis).

Resanding

Since for each cleaning, the top layer of the filter is removed, the depth of the filter material drops until the minimum design level is reached. This is typically about 0.6 m above the supporting gravel. The filter must then be resanded. The sand is to be washed thoroughly to remove all impurities (especially organic coating). This can be rather difficult (use of washing machine). If readily available, new sand may be better used instead. Also, the reuse of the old sand replenished by new material has its economic merits [79].

3.5.2.6 Modifications

The procedures and characteristics discussed in the preceding sections represent a complete scheme necessary to achieve the best possible purification effects. There is room, however, to modify this scheme sufficiently to scale it down to the household level. Examples are:

- substitution of sand by alternative filter material (see example Fig. 29),
- reduction of the depth of the supernatant reservoir,
- effluent discharge via rising pipe (Fig. 26) rather than by a weir. Mounted on the effluent pipe is a stop cock to regulate the filtration rate and to shut off the outflow during cleaning.

Further design alternatives, e.g., for the effluent collection and discharge system, were discussed in earlier sections. Some selected modified slow sand filters are introduced in the following paragraphs. Too drastic a simplification of the full scale scheme may reduce the filter efficiency. It may give rise to the danger of insufficient biological effectiveness, necessary conditions for which are slow inflow and uniform throughfow. A pure and clean appearance of filtered water is no assurance of sufficient bacteriological quality.


Fig. 26: Simple slow sand filter

Horizontal sand filter

This type of filter (Fig. 27) is constructed by excavation of an earth basin which is subsequently filled with sand. A biological skin develops at the surface of the sand around the inlet point. The filtration rate of the water percolating through the sand body is controlled by the filter resistance and the head differential between inflow and outflow. The retention time in such filters is between 36 hours and 30 days.

Filtration rate: 0,2 to 0.4m/h

Filtration effect: reduction of bacteria count, turbidity, organic content

Filter basin: excavation, watertight lining (e.g., with plastic sheets); depth between 0.5 m and 1.0 m; length 5 m; bottom slope 1: l0 to 1:20

Cleaning: When the filter starts clogging, the point of inflow is simply switched. As soon as the water has drained from the clogged inflow trough, the top sand layer is scraped off. The point of inflow can then be switched back. This technique offers the possibility of uninterrupted operation.


Fig. 27: Horizontal flow sand filter [46, 77, 81]. 1 Inlet pipe, 2 inlet trough to prevent scouring, 3 barriers, 4 gravel 50 mm, 5 outlet trough, 6 flow direction

Slow sand filter of household size

A household filter can be simply made from a used metal drum (Fig. 28). A thorough cleaning and disinfection (e.g., with NaOCl) is necessary prior to its use as a filter casing. A drum previously filled with oil or chemicals should not be used.

Filter casing: 200 a metal drum, 0.5 m diameter

Depth of supernatant: 0.1 to 0.3 m so as to facilitate steady flow conditions

Filter medium: sand

Filter bed depth: at least 0.6 m, better 0.75 m

Support layer and outlet: Collection of the filtered water in a gravel layer. Effluent discharge via riser pipe, which is partly perforated. The effluent pipe mounted with a stop cock rises just above the level of the filter bed so as to prevent the filter from running dry.

Filter output: 60 a/h (as compared to up to 230 a/h for the rapid version)

Operation: setting of the filtration rate through effluent stop cock

Cleaning: necessary whenever filtration rate below certain specified value (at fully open valve)

In case of high turbidity, pretreating the water is recommended, by means of an upflow rapid filter (section 3.5.1.5).


Fig. 28: Slow sand filter in household size, capacity 60 a/h. Source [51].

Two-stage coconut fiber/burnt rice husk filter (Fig. 29)

This type of filtration plant was developed and tested in Southeast Asia where it is widely used. Two filters are operated sequentially. The first one acts as a coarse filter while the second one operates similarly to a slow sand filter (see Fig. 14). The filtrate is free of color, disagreeable odor and taste. The turbidity is greatly reduced, surplus iron and manganese is removed. Since pathogen removal is not as high as using a slow sand filter, subsequent disinfection (e.g., chlorination in the storage tank) is recommended.

The circumstance that the plant is mostly made from locally available materials and residues keeps the initial capital cost and the operating cost low. For filter vessels, clay jars or containers made of concrete, metal or zinc-plated sheet metal can be used. Feasible operating capacities range between 1 and 15 m3/h, depending mainly on the size of the system.

Coarse filter (dispersible if raw water turbidity is low)

Filter medium: shredded fibers of coconut shells (washed)

Filtration effect: Reduction of turbidity by 60 to 70%. Removal of dissolved particles; due to certain superficial phenomenon coagulation-like effects are achieved by the medium. At high concentrations of colloidal particles (turbidity > 300 NTU) the addition of a coagulant is recommended.

Depth of filter bed: 0.6 m to 0.8 m; depth of supernatant water 1 m above filter bed

Cleaning: Replacement of entire medium, when the supernatant reaches the rim of the tank (every 3 to 4 months).


Fig. 29: Two stage filter. Source [74, 75, 76]

Slow filter

Filtration rate: 1.25 to 1.5 m/h

Filter medium: burnt rice husks (washed, deff between 0.3 and 0.5 mm; UC between 2.3 and 2.6)

Filtration effect: Removal of residual turbidity up to 95%, reduction of coliform bacteria by 60 -90%, removal of iron and manganese up to 90%, removal of color, odor and objectionable taste through adsorptive effect of the activated carbon of the burnt medium

Depth of filter bed: 0.6 to 0.8 m; depth of supernatant 1 m

Supporting layer: 0.05 to 0.1 m of gravel

Drainage: perforated drain pipe Cleaning:

Necessary when supernatant reaches rim of tank (approx. every 3-4 months). After draining of the tank, a layer of 5-10 cm of the filter medium is removed from the top. A refill of the medium is called for when the depth of the filter bed has dropped to a minimum of 0.6 m.

3.6 Disinfection

3.6.1 Chlorination
3.6.1.1 The Action of Chloride and its Range of Application
3.6.1.2 Chemicals
3.6.1.3 Determination of Chlorine Dose
3.6.1.4 Practical Application
3.6.2 Iodine
3.6.3 Ozonation
3.6.4 Potassium Permanganate
3.6.5 Disinfection by Silver
3.6.6 Boiling
3.6.7 Ultra-violate Radiation

It is essential that drinking water be free of pathogenic organisms. Storage, sedimentation, coagulation, flocculation and filtration of water both individually and jointly reduce the contents of bacteria in water to a certain extent. None of these methods can guarantee the complete removal of germs. Disinfection is needed at the end. Water with low turbidity may even be disinfected without any additional treatment for bacteria removal.

Groundwater abstracted from deep wells is usually free of bacteria. Surface water and water obtained from shallow wells and open dug wells generally need to be disinfected.

Water disinfection processes are designed to destroy diseaseproducing organisms by means of disinfectants. The degree or efficiency of disinfection depends on the method employed and on the following factors influencing the process:

- kind and concentration of microorganisms in the water,
- other constituents of the water which may impede disinfection or render it impossible,
- contact time provided (important for chemical disinfectants, since their effect is not instantaneous, a time of contact is necessary),
- temperature of the water (higher temperatures speed up chemical reactions).

Water disinfection can be accomplished by several means:

- physical treatment: removal of bacteria through slow sand filtration, straining of macroorganisms by means of microscreening (section 3.5.1.7), application of heat (boiling), storage, etc.
- irradiation, such as UV-light,
- metal ions, such as silver (and copper),
- chemical treatment, use of oxidants (halogens and halogen compounds -chlorine, iodine, bromine -, ozone, potassium permanganate, hydrogen peroxide, etc.).

A good chemical disinfectant should have the following abilities:

- destroy all organisms present in the water within reasonable contact time, the range of water temperature encountered, and the fluctuation in composition, concentration and condition of the water to be treated;
- accomplish disinfection without rendering the water toxic or carcinogenic;
- permit simple and quick measurement of strength and concentration in the water,
- persist in residual concentration as a safeguard against recontamination;
- allow safe and simple handling, application and monitoring;
- ready and dependable availability at reasonable cost.

Just as important as the proper choice of the disinfectant, applying the foregoing criteria, is that of the type of device to be used to add the agent to the water in a safe and controllable fashion.

It cannot be emphasized strongly enough that there are potential hazards for the human organism associated with prolonged ingestion of chemicals. Nevertheless, the application of chlorine and its compounds for the purpose of water disinfection is the best and most tested compromise when evaluated according to the aforementioned criteria. It is therefore discussed here in detail. The other methods differ significantly from each other in terms of their effect, the technological level and particularly in their applicability. They are introduced only briefly.

3.6.1 Chlorination

Chlorination is the most widely used method for drinking water disinfection. It is effective and economical. Its use requires some knowledge about the complex processes that take place during chlorination. Those processes will be briefly summarized in the following paragraphs.

3.6.1.1 The Action of Chlorine and its Range of Application

Chlorination is known as the addition of chlorine gas or some other oxidizing chlorine compound (sodium or calcium hypochlorite, chlorinated lime, chlorine dioxide) to the water to be treated. The actual agent is hypochlorous acid (HOCl) which forms when chlorine is added to water:

Hypochlorous acid also forms subsequent to dissociation, when chlorinated lime or hypochlorites are added:

The following chemical equilibrium

depends on pH and temperature. At pH levels between 3 and 6, hypochlorous acid dissociates poorly. Chlorination is most effective in that range of pH. At pH levels greater than 8, hypochlorite ions predominate or exist almost exclusively. Hence the disinfecting effect drops off rapidly as the pH level increases.

Simultaneously with the dissociation, hypochlorous acid partly breaks up, forming monatomic oxygen, which contributes to the oxidizing effect:

HOCl ® HCl + O

The fraction that becomes effective as an oxidizing agent when chlorine or some of its compounds is added to raw water is called "free available" or "active" chlorine.

Small amounts of chlorine, due to its ability to penetrate cells of microorganisms, are sufficient to destroy many different strains of bacteria. Similarly, many types of viruses and macro-organisms such as schistosoma larvae can be killed. A contact time of at least 30 minutes is required, at the end of which the residual chlorine concentration in the water must still be between 0.1 and 0.5 mg/l (= ppm). Amoebic cysts and spores with resistant cell membranes require higher doses and longer contact times.

Chlorine also reacts with many other oxidizable water constituents such as iron and manganese compounds, ammonia, and compounds thereof (forming chloramines), as well as numerous types of organic particles. The presence of these substances reduces the germicidal effect considerably. Sufficient chlorine must be added to the water to make sure that there is a residual concentration to prevent recontamination.

It is advisable to remove or reduce prior to chlorination, those substances by means of sedimentation and/or filtration which would impede disinfection. Through such pretreatment, helminth eggs (parasitic worms) can be removed which are insensitive to chlorination.

In recent times, it was found that through chlorination, certain undesirable side effects may occur. Particularly in industrialized areas, synthetic organic compounds may enter the hydrologic cycle in high concentrations. The presence of chlorine enhances the danger of the formation of carcinogenic compounds (e.g., chloroform and other trihalomethanes).

3.6.1.2 Chemicals

Chlorine gas and chlorine dioxide are widely used in water treatment on account of their high efficiency and ease of application. Handling and transport, however, are considered too demanding and hazardous for the purposes described in this manual (explosive, toxic).

Several chlorine compounds which have various active chlorine contents (cf. Table 13) are more easily applicable. In some form or another they are available virtually anywhere.

Table 13: Strength of Various Chlorine Preparations

Name

% Active Chlorine

Amount for Preparation of 1 l of 1% Solution

Sodium Hypochlorite

14 (10-15)

71 g

Household Bleach

5 (3-5)

200 g

Javelle Water

ca. 1

1000 g

Chlorinated Lime

30 (25-37)

40 g

HTH

70 (60-70)

15 g

Sodium hypochlorite (NaOCl), commonly known as bleach or Javelle water:

This is generally available in dissolved form. Its commercial strength in terms of active chlorine is between 1 and 15%. It is stored in dark glass or plastic bottles. The solution loses some of its strength during storage. Prior to use, the active chlorine content should be tested. Sunlight and high temperatures accelerate the deterioration of the solution. The containers therefore should be stored in cool darkened areas. The stability of the solution decreases with increasing contents of available chlorine. A 1% solution is relatively stable. But it is not economical to store. Even though hypochlorite solutions are less hazardous than chlorine gas, every precaution should be taken to avoid skin contact and to protect containers against physical damage.

Chlorinated Lime or Bleaching Powder (CaO · 3 CaOCl2 · 3 H2O)

In general, the powder is readily available and inexpensive. It is stored in corrosion resistant cans. When fresh, it contains 35% active chlorine. Exposed to air, it quickly loses its effectiveness. It is usually applied in solution form which is prepared by adding the powder to a small amount of water to form a soft cream. Stirring prevents lumping when more water is added. When the desired volume of the solution has been prepared, it is allowed to settle before decanting. Solutions should have concentrations between 5 and 1% of free chlorine, the latter being the most stable solution. Some 10% of the chlorine remains in the settled sludge. The same precautions for the NaOClNaomi solution pertain also to the storage of dissolved chlorinated lime.

High Test Hypochlorite (HTH) is a stabilized version of calcium hypochlorite (Ca(OCI)2) containing between 60% and 70% available chlorine. Under normal storage conditions, commercial preparations will maintain their initial strength with little loss. Even though HTH is expensive, it may be economical, thanks to its properties. It is available in tablet or granular form (commercial names: Stabo-Chlor, Caporit or Para-Caporit).

These chemicals must be handled with great caution. They are caustic, corrosive and sensitive to light. They should be stored in tightly closed containers and in darkened spaces, accessible only to authorized personnel. When handling the material, contacts with skin, eyes and other body tissues must be avoided. Chlorine corrodes metal and to a less extent, wood and some synthetic materials. Metal parts which come in contact with the chemicals should be resistant.

3.6.1.3 Determination of Chlorine Dose

Chlorine of any type must be added to water in closely controlled concentrations which depend on the characteristics of the water. As the use of dry chemicals doesn't always permit sufficient accuracy of dosing, solutions are preferred. Chlorine is usually added to the water for disinfection at the end of the treatment process. This allows the most effective treatment at the lowest level of chlorine application. Measurements of the chlorine demand and residual chlorine must be taken to assure that sufficient free chlorine is available to accomplish disinfection.

Water characteristics and, hence, the chlorine demand may vary due to external influences (e.g., rainy season, etc.). It is therefore necessary to monitor the water quality from time to time, at the points of consumption in cases where the chlorine dosage is fixed. The objective of disinfection via chlorination can only be obtained if the chlorine dosage is adjusted to the changed water characteristics.

In the field, the chlorine demand of water of a given quality can be determined as follows: One lifer samples of the water are taken. Chlorine solution of a known concentration is added and mixed with the water. After 30 minutes of contact time, the residual chlorine content is measured. The difference to the amount added then yields the chlorine consumption.

Chlorine demand = chlorine consumption + desired residual

Usually 1% chlorine solutions are applied. The chlorine flow is set such that a chlorine residual level of between 0.1 and 0.3 mg/l is obtained. Higher levels are recommended if rapid recontamination is likely.

Colorimetric tests are employed to determine total chlorine residuals. Chemical agents (DPD or OT method) are used which are oxidized by chlorine to produce a colored complex, the intensity of which is proportional to the amount of chlorine present. Reading the colors and matching color standards by means of a comparator and disks, gives the amount of free, available, and residual chlorine. Various simple test kits are commercially available, using permanent glass and containing DPD reagents in liquid or compressed tablet form.

Calculation of the required amount of chlorine: Given the amount or flow of water to be chlorinated, the chlorine demand and the strength of the chlorine solution to be used, the necessary amount of solution can be calculated as follows:

chlorine demand (g/m³) x amount of water to be treated (m³/h) = required amount of active chlorine per hour (g/h); required amount of chlorine solution per hour (l/h) = required active chlorine per hour (g/h) divided by active chlorine per liter of solution (g/a)

It must be noted that the manufacturers usually express the available chlorine content in terms of percent weight (g/100 g). In the field, however, it is often expressed in terms of percent volume (g/100 ml of solution). Since the density of chlorine solutions is higher than that of water, the percent weight measure for a given solution is lower than the percent volume measure.

3.6.1.4 Practical Application

Aside from using commercially available chlorine feeder instruments, it is quite possible to make a simple dosing apparatus for a constant feed rate. The most difficult part is the setting of the proper rate of delivery. Reliable operation and regular maintenance must be provided. Sufficient contact time for the chlorine must be ensured.

Chlorination should never be performed prior to slow sand filtration (residual chlorine destroys biological agents). Sedimentation and filtration preceding chlorination enhance the disinfection effect. The lower the turbidity, the smaller the amount of chlorine necessary for effective disinfection.

The chlorine solution can either be added to a batch of water (non-continuous or diffusion chlorination) or alternatively, it can be fed continuously to a constant flow of water.

Batch Chlorination

Where tanks are used for storage of drinking water, the required amount of chlorine can be added to the tank periodically. It is advantageous to alternate between two tanks (see Fig. 30). While one tank is in use, the other one is refilled and treated with chlorine. The water can be used after a minimum of 30 minutes contact time. This procedure allows uninterrupted supply.

The amount of chlorine required for a given size tank can be calculated according to the foregoing formula. Using a 1% hypochlorite solution, the dose is:

chlorine demand x tank capacity.

If the water quality of a given source varies, the chlorine demand must be reevaluated from time to time. Before a tank is used the first time for storing water, it must be cleaned carefully and disinfected (application of between 50 and 100 ppm active chlorine). Once the water has been disinfected, recontamination must be carefully prevented. Tanks should be covered. A tap should be used to release the water so as to avoid scooping out the water with unclean jars and the like. If the water is not used immediately but left in the house for awhile, only well cleaned and covered jars should be used.


Fig. 30: Batch-Chlorination with two tanks

Chlorine Tablets: In certain situations, e.g., while travelling, chlorine tablets can be used. They are available from various firms. They are used for periodic chlorination of small batches of water.

Diffusion Chlorination

Open wells are often bacteriologically contaminated because of non hygienic methods for lifting the water, or due to careless use of the surroundings of the well.

CPHERI and NEERI (India) respectively, experimented with simple devices that would allow providing water in a well or in a tank with a sufficient amount of chlorine over a certain period of time (see Fig. 31 and 32).


Fig. 31: Diffusion chlorination a) well, b) cistern


Fig. 32: Various devices for diffusion chlorination. Source: [84, 85, 51]

Type I is a clay jar (12 to 15 l volume), filled nearly half-way with a mix of 1.5 kg bleach powder and 3 kg coarse sand (grain size 1.4 to 1.6 mm). It has two holes above the sand surface. The jar is covered with a plastic foil. The jar is suspended approximately 1 m below the water surface in the well. The chlorine can thus diffuse through the two holes into the well water.

Range of application: Wells of 9 to 13 m³ volume of water, daily removal some 10% (0.9 to1.3 m³);

Effectiveness: 1 week at a residual chlorine content of between 0.2 and 0.8 mg/a.

Type II also consists of a clay jar (volume 7 to 10 a). It has 6 to 8 holes in the bottom. These are covered with stones on top of which a layer of gravel is placed. On top of that is put a mix of 1.5 kg bleaching powder and 3 kg of coarse sand. Stones are filled to the rim of the jar, which is then lowered into the water.

Range of application: same as before Effectiveness: Two weeks at a residual chlorine content of between 0.2 and 1.0 mg/a.

For larger wells and higher rates of water use, two jars should be used which are refilled interchangeably.

Type III: For small household wells,a double jar is recommended which releases less chlorine per time unit. The inner jar contains a mix of 1 kg bleaching powder and 2 kg coarse sand. The diffusion openings are provided as shown in Fig. 32.

Range of applications: Wells with 4.5 m³ volume of water and daily removal of between 360 to 450 l.

Effectiveness: Two to three weeks at a residual chlorine content of between 0.15 and 0.5 mg/l.

As these devices are not fit for large variations in water use, insufficient chlorination may occur at higher rates of water use.

Continuous Chlorination

Simple chlorine dosing instruments can be installed in piped water supply systems. Chlorine is fed to the water in proportion to the flow rate.


Fig. 33: Diagram of a water supply scheme with continuous chlorination by a drip dosing device. Source: [91].

Fig. 33 shows a water supply scheme including continuous chlorination. A pipeline transmits the water from the source to the reservoir, passing through some sort of pretreatment (e.g., coagulation/flocculation and settling). Before entering the reservoir, the water is passed through a mixing chamber where a dosing apparatus introduces droplets of chlorine into the water.

In the following paragraphs, some examples of drop dosers are discussed:

- Glass or plastic bottles. Through a tap near the bottom, the chlorine is released into the water. The tap also serves as a coarse control of the delivery rate (Fig. 34a, b). A constant head H provides fine control of the delivery rate. This head H is measured either between the faucet and the fine bore air inlet tube (b) or between the two tubes which pass through the rubber cap (c, d).

- 200 a metal drum. The drum (Fig. 35), painted inside with bituminous paint to protect the metal from corrosion, holds the hypochlorite solution. A floating bowl (plastic, glass or ceramics - two versions are shown in Fig. 35) which is anchored and stabilized in the tank, controls the delivery rate. The solution enters the bowl via a small bore glass inlet tube. From there, it leaves the bowl through a wide bore delivery tube. The flow rate is controlled by the head difference H (between the upper end of the glass tube and the level of the liquid in the tank) and the diameter of the fine bore inlet tube. The flow rate is given by the following expression (based on Bernoulli's equation):

where Q = flow rate, g = gravitational acceleration, H = head difference, C = empirical discharge coefficient, approx. 0.6, d = diameter of small bore inlet tube.

From the above expression, it can be seen that the delivery rate is proportional to the second power of the tube diameter and to the square root of the head difference. That is to say, the smaller H or d, the smaller is the flow rate. Hence, the flow rate is independent of the level of the solution in the tank. As the level drops, so does the floating bowl. To stop the delivery completely, the bowl must be lifted at least a distance H, so as to stop the gravitational driving force of the closer. The outlet (wide bore tube) must not be closed or else the bowl will gradually fill up and sink to the bottom, possibly suffering damage.


Fig. 34: Mariotte type bottles for dosing of chlorine solutions. Sources: [44, 46, 89, 91].


Fig. 35: Drip dosing devices with floating bowl. Source: [51, 56, 88].


Fig. 36: Drip dosing device made from a 20 a plate canister. Source: [44, 87]

- Similar instruments of different sizes are shown in Fig. 36. The solution enters a glass or copper pipe through an inlet hole somewhat below the surface. The pipe is connected to a rubber hose which runs to the outlet. A float again provides a constant head difference between the liquid level and the inlet hold. The delivery rate is controlled by the size of the hole and its distance below the surface.

A variety of types of chlorine dosing instruments are commercially available. They range from manually controlled types to fully automated ones. Usually a unit consists of a storage tank and a diaphragm pump for feeding the hypochlorite solution. The feed rate is proportional to the water flow rate and, thus depends on the consumption. The use of these devices is limited to piped water supply systems. Installation and setting up should be carried out by professional personnel.

3.6.2 Iodine

Iodine is an excellent disinfectant, effective against bacteria, amoeba cysts, cercerea and some viruses. It is added to the water mostly in the form of an aqueous solution. WHO recommends the application of 2 droplets per lifer of water of a 2% iodine tincture [56]. Iodine preparations are also available in tablet form.

In comparison to chlorination, the use of iodine has the following advantages:

- effectiveness over a wider range of pH values (up to pH 10), except at very low temperatures;
- amonia and organic nitrogenous compounds have little effect on germicidal efficiency because they do not form substitution compounds with iodine;
- action depends less on contact time and temperature;
- effectiveness against more pathogenic organisms within short times;
- use and handling is simpler.

Since operating costs are too high, the use of iodine is not expected to ever become an important widely applied disinfectant. The applicability is limited due to the following disadvantages:

- higher concentrations than chlorine (on a ppm basis) are necessary for effective action; -muddy or turbid water substantially affect germicidal action;
- iodine is about 20 times as expensive as chlorine per unit of germicidal effectiveness;
- taste and slight color produced by the iodine affect palatability and aesthetic quality;
- physiological effect of prolonged use of iodine (especially in children) is suspected.

Allergies were ascertained.

In view of these economic and health implications the use of iodine for disinfection is recommended only for occasional application (e.g., in case of catastrophe or while travelling). Aside from that, iodine is a highly effective and technically widely applicable disinfectant.

3.6.3 Ozonation

Ozone (O3) is one of the most effective disinfectants. As a powerful oxidant, it reduces the contents of iron, manganese, and lead, and eliminates most of the objectionable taste and odor present in water. Its effectiveness does not depend on the pH value, temperature or ammonia content of the water. Since ozone is relatively unstable, it is generated almost invariably at the point of use. Ozone is obtained by passing a current of dried and filtered air (or oxygen) through between two electrodes (plates or tubes) subjected to an alternating current potential difference. A portion of the oxygen is then converted into ozone.

This principle of ozone production has been used in Europe for a long time, since it has the advantage of being applicable under a wide range of conditions. It leaves no chemical residuals behind in the treated water. On the other hand, no lasting protection against recontamination is provided either. Capital costs for the instrumentation of ozone production and feeding, as well as operating costs due to the electrical energy requirements, are very high. Moreover, operation of ozonizers requires continuous and skilled monitoring. The operational requirements therefore exceed the resources available in rural areas of most developing countries.

3.6.4 Potassium Permanganate

Potassium permanganate (KMnO4), a powerful oxidant, is rarely applied in water treatment for the purpose of disinfection. It is sufficiently effective against cholera bacteria, but not against other pathogenic germs. A dose of 1 to 5 ppm KMnO4 is recommended for application. It must be noted, though, that it creates a purplebrown precipitate which coats the walls of the tank. It cannot be removed easily.

In recent years, potassium permanganate has gained steadily in the application in pretreatment since it has proved effective at:

- removing objectionable odor and taste by means of oxidation of organic material, hydrogen sulfide;
- preventing algal growth;
- removing iron and manganese compounds by means of oxidation and subsequent separation by filtration.

3.6.5 Disinfection by Silver

Preparations containing silver may be used to reduce the germ count of water. The products are commercially available, either as a liquid or a powder. They are readily soluble in water and can be dosed easily.

The effectiveness of silver can be explained by the oligo-dynamic properties of silver ions (silver nitrate or salt compounds). Even minute concentrations (0.03 to 0.04 ppm) are notably effective. The silver ions curb the growth of germs. After contact of between 30 minutes and 6 hours, depending on the level of bacteriological contamination, water of a very low germ content may be obtained. Odor and taste of the water are not affected by the application of silver. Disinfection by silver is a simple and very effective method. Its major advantage is that it provides already treated water with long-lasting protection against recontamination by germs.

The effect of silver and other metals has been known to many peoples for a long time. The tradition of storing drinking water in silver vessels is still maintained in wealthier Hindu families. Although there is a tendency at present to exchange the metallic containers for plastic ones, even simple Indian villagers can still be seen fetching water from the well in brass or copper vessels. The metallic vessels are believed to have antiseptic qualities.

Silver preparations are also used in ceramic filters (see section 3.5.1.7). Major disadvantages of silver for the purpose of disinfection are the costs of treatment (about 200 times higher than gaseous chlorine), relatively long contact periods are required, organic substances and iron, sulphur, etc., inhibit action, thus limiting the applicability of the technique. If combined with chlorine, silver preparations are more widely applicable (direct disinfection and protection against recontamination).

3.6.6 Boiling

Boiling water is a very effective though energy-consuming method to destroy pathogenic germs: bacteria, viruses, spores, cercerea and amoeba cysts, worm eggs, etc.

The presence of turbidity or other impurities has little effect on germicidal effectiveness. If boiling is the only type of treatment available, it is recommended to let the water settle before, and decant it or filter it through a fine-meshed cloth so as to remove coarse impurities and suspended particles. The water is then brought to a strong boil which is maintained for at least five, preferably twenty minutes. For storing, it must not be transferred to a different vessel, but left in the former one and covered, so as to protect it from recontamination.

Boiling, together with the associated release of gases, especially CO2, alters the taste of water. But through stirring while boiling and by letting the water sit in the partially filled vessel for a few hours afterward, the water picks up air and loses its bland taste. To improve the taste of the water, flavoring plant materials may be added during boiling.

If done properly, boiling is a very effective and simple disinfection method. Since it requires a significant amount of energy, this method is only recommended in exceptional castes. If it is not possible for any reason to apply a different method, the most energy-efficient way of boiling should be employed.

3.6.7 Ultra-violet Radiation

The germicidal effect of UV rays had been known long before the first experiments were carried out to harness it for water disinfection. In principle, the effect of sunlight on surface water is imitated in a more intense and controllable way. The most commonly used source of UV-radiation is a low pressure quartz mercury vapor lamp which emits invisible light at a wavelength in the range between 200 and 300 nm with part of the energy in the spectral region of 2537 A.

The germicidal effect depends on the electric power of the lamp and on the time of exposure of the water to the radiation. It decreases with increasing distance between water and lamp. Also, many substances present even in pretreated water (e.g., small amounts of dissolved iron) absorb UV light. Other constituents (turbidity, suspended matter) inhibit or prevent the transmission of radiation. A disinfection unit is built such that the water is made to flow through a pipe in a thin film around the lamp, which is located at the pipe's center, emitting radiation. The flow rate is adjusted as required. The water must be pre-filtered.

Disinfection by UV radiation is a "clean" process, since no chemical additives are used. Residual matter doesn't occur, and tastes and odors are neither produced in the water nor altered. Automatic devices are available which indicate when the lamp's output is not sufficient.

Due to some severe disadvantages of this type of treatment, it is not expected to find any consideration for application in the areas targeted by this manual:

- commercially available devices are relatively expensive,
- there is a dependence on steady power supply ?
- the lamp's powers of penetration are limited; thin water films are necessary,
- turbidity, and impurities reduce the effectiveness notably,
- the lamps gradually lose their radiation power, accelerated by a coating of dirt. The lamp's average life is 1000 to 5000 hours,
- disinfection occurs rather quickly and effectively (up to 99.9%), though no protection for recontamination is provided.

TO PREVIOUS SECTION OF BOOK TO NEXT SECTION OF BOOK

CD3WD Project Donate