Back to Home Page of CD3WD Project or Back to list of CD3WD Publications

CLOSE THIS BOOKRiveting - Course: Technique for manual working of materials. Trainees' handbook of lessons (Institut für Berufliche Entwicklung, 22 p.)
VIEW THE DOCUMENT(introduction...)
VIEW THE DOCUMENT1. Purpose of riveting
VIEW THE DOCUMENT2. Kinds of rivets
VIEW THE DOCUMENT3. Kinds of riveted joints
VIEW THE DOCUMENT4. Tools and auxiliary means for riveting
VIEW THE DOCUMENT5. Calculations for the selection of rivets
VIEW THE DOCUMENT6. Technological process of riveting
VIEW THE DOCUMENT7. Loosening of a riveted connection
VIEW THE DOCUMENT8. Riveting faults

5. Calculations for the selection of rivets

If on the working drawing no details on the rivet are indicated, the following has to be taken into consideration:

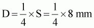
The diameter of the rivet shank shall be at least one quarter of the thickness of all plates to be riveted - formula:

D = diameter of the rivet shank
s = thickness of all plates to be riveted (clamping length)


Figure 22 - Riveted joint:

1 - Diameter of the rivet shank
2 - Length of the rivet shank
3 - Allowance
4 - Clamping length

The length of the rivet shank has to be calculated on the basis of the thickness of all plates to be riveted:

The rivet shank must be longer than the thickness of all plates to be riveted by the measure of the "allowance" - formula:

L = S + z

L = length of the rivet shank
S = thickness of all plates to be riveted
Z = allowance

The allowance depends on the kind of rivet and on the field of application:

- Button closing heads in steel construction;

For rivets of diameters of the rivet shank up to 20 mm -

Z = 1.5 x D

For rivets of diameters of the rivet shank of more than 20 mm -

Z = 1.6 x D

- Button closing heads in boiler construction:

For rivets of rivet shank diameters up to 20 mm -

Z = 1.7 x D

For rivets of rivet shank diameters of more than 20 mm -

Z = 1.8 x D

- Countersunk closing heads in general:

Z = 0.5 x D

Rivets which are too long must be cut - the right length of the rivet shank is the precondition of the quality of the closing head.

Calculating example:

A button head rivet shall be calculated in order to connect two plates of 4 mm in thickness in steel construction:

1. Diameter of the rivet shank:

D = 2 mm


selected: 3 mm

2. Length of the rivet shank:

L = S + Z


Z = 1.5 x D = 1.5 x 3 mm

Z = 4.5 mm

L = 8 mm + 4.5 mm

L = 12.5 mm


selected: 12 mm

Result: A rivet with the designation button head rivet 3 x 12 can be used for the intended connection.

Exercise:

A countersunk riveting of three 5 mm thick plates shall be made What rivet can be used for this purpose?
________________________________________________________________________________________________________________________________________________________________________________________________________________________________________________________________________________________________________________________________

TO PREVIOUS SECTION OF BOOK TO NEXT SECTION OF BOOK

CD3WD Project Donate