Back to Home Page of CD3WD Project or Back to list of CD3WD Publications

CLOSE THIS BOOKSupplies and Food Aid - Field Handbook (UNHCR, 1989, 296 p.)
ANNEXES TO THE FIELD HANDBOOK
VIEW THE DOCUMENTAnnex I - Packaging Standards for International Shipments*
VIEW THE DOCUMENTAnnex II - Inspection Services
VIEW THE DOCUMENTAnnex III - Incoterms (International Commercial Terms)
VIEW THE DOCUMENTAnnex IV - Contribution Advice Form - Example
VIEW THE DOCUMENTAnnex V - Checklist for Donor Contributions
VIEW THE DOCUMENTAnnex VI - EC Taking-Over Certificate
VIEW THE DOCUMENTAnnex VII - Purchase Authorization
VIEW THE DOCUMENTAnnex VIII - Quotation Request - Example
VIEW THE DOCUMENTAnnex IX - Tabulation of Bids
VIEW THE DOCUMENTAnnex X - Purchase Order
VIEW THE DOCUMENTAnnex XI - Letter of Regret - Example
VIEW THE DOCUMENTAnnex XII - Shipping Advice Telex - Example
VIEW THE DOCUMENTAnnex XIII - Shipping/Insurance Advice and Receiving Report - Example
VIEW THE DOCUMENTAnnex XIV - Transmittal of Shipping Documents - Memorandum
VIEW THE DOCUMENTAnnex XV - Bill of Lading - Example
VIEW THE DOCUMENTAnnex XVI - Letter of Guarantee - Example
VIEW THE DOCUMENTAnnex XVII - Shipping Insurance Request
VIEW THE DOCUMENTAnnex XVIII - Protest Letter
VIEW THE DOCUMENTAnnex XIX - Survey Report - Example
VIEW THE DOCUMENTAnnex XX - Selection Criteria for Heavy Duty Vehicles
VIEW THE DOCUMENTAnnex XXI - Checklist for Receipt/Delivery of Vehicles
VIEW THE DOCUMENTAnnex XXII - Rules for Drivers
VIEW THE DOCUMENTAnnex XXIII - Drivers' Checklists for Vehicle Inspection and Cleaning
VIEW THE DOCUMENTAnnex XXIV - Vehicle Accident Report
VIEW THE DOCUMENTAnnex XXV - GS.45 - Property Survey Board
VIEW THE DOCUMENTAnnex XXVI - Inspection of Storage Conditions*
VIEW THE DOCUMENTAnnex XXVII - UNHCR Distribution Report

Supplies and Food Aid - Field Handbook (UNHCR, 1989, 296 p.)

ANNEXES TO THE FIELD HANDBOOK

Annex I - Packaging Standards for International Shipments*

* Some information presented here has been extracted from the UNHCR Guide to In-Kind Contributions for Refugee Emergencies, and the Handbook for Donors of the ICRC.


Requirements

Remarks

INNER PACKAGING

Packaging must be moisture/vapour-proof, made of heavy duty plastic or metal, preferably reclosable, without sharp edges and sealed with the air removed.

Tins and cans must be accompanied by opening devices.


No glass, cellophane or paper packets may be used.

Desiccators may also be advisable.

OUTER PACKAGING

Unless requested In "sets" or "kits", any one package contains only one product and only one standard size of that product. All packages In a consignment should be the same size.

Sets or kits packed together should contain diagramatic packing slips and instructions.


FRAGILE labels should not be required. Use partitions to strengthen packing and add filling material (wood shavings, straw, shredded paper, bubbled plastic) to ensure solid, full container.

Manual stacking probably means handlers will walk on stacked packages.


To be handled by one person, maximum weight recommended is:




carton or box = 25 Kg (55 lbs)




bundle or sack = 50 Kg (110 lbs)



Loose items should never be packed in sacks.

Packages must be stackable to a height of 3 metres.


Bales and bundles should be compressed and banded.

Compressed packages are stackable.


Outer packing should be lined with plastic, or heavy waterproof bitumen paper.

Cardboard absorbs humidity, as well as water.


All packaging should be closed or lidded and bound with strapping.

Only cartons under 10 Kg may be bound with packing tape.


Small or lightweight packages may be packed in a larger receptacle or stacked, sealed and banded on pallets.

Avoid light, tossable packages.


Pallets are made of good quality wood, of the size and type to fit transport and loading equipment used, wrapped with plastic shrink-wrap or sheeting and strapped effectively.

Each pallet must carry proper identifying marks and include a packing slip to itemize the goods on the pallet.


Woven polyester strapping may be used and is often preferable to steel bands.

Steel bands may rust and require special tools for removal.

AIR FREIGHT PACKING

Plywood boxes are recommended, with metal reinforced edges and corners and moisture-proof lining.



or



Triple corrugated cartons may be used, which are weatherproof-treated, lined, stapled and steel strapped.

Unit weight should not exceed 70 Kg.

SEA FREIGHT PACKING

Seaworthy, quality wooden crates are made from slats of wood, with a moisture resistant lining, strapped with steel bands. Four carrying slings should be attached.

Crates are recommended for heavy articles, such as generators weighing up to 200 Kg. Do not position slats so that pieces of the contents can be removed through the spaces between the slats.

CONTAINERIZED CARGO

Standard containers are:

Containers are lockable, and non-returnable containers may be kept at field locations for ongoing secure storage.



- 20 ft - approximate capacity 28 m3 holding 18 MT




- 40 ft - approximate capacity 60 m3 holding 30 MT


COMMODITY PACKING

Milk powder and enriched products are packed in 4-ply paper sacks, with plastic inner sack, not exceeding 25 Kg.



Legumes and grains are packed in jute outer sacks, with cotton inner sack, usually not exceeding 50 Kg.



Grains may be packed in woven polypropylene or cotton/polypropylene-blend sacks, with cotton inner sack.



Edible oil is packed in 100- or 200-litre steel or heavy-guage plastic drums.



Blankets and clothing are compressed in bales or bundles, covered with waterproof material and banded.



Hazardous products are packed according to transport regulations.

Hazardous products Include pesticides, explosives, corrosive liquids, compressed gases, flammable substances and other chemicals.

Annex II - Inspection Services

General Inspection of Consignments

Pre-shipment Verification

· Inspect items for compliance with requirements stated in the supply contract or Purchase Order, both in nature and quantity.

· Examine supplier's documentation for compliance with stated contractual obligations in format, invoicing, certificates of origin, test or analysis results, etc.

· Confirm that packing, labelling and shipping marks comply with contracted requirements or, if not specified, are appropriate for the particular goods, methods of transport/handling and destination.



Pre-shipment Inspection

· Witness all final performance and acceptance tests specified in the supply contract, including review of the test apparatus certification:






- Finished products must comply with latest approved drawings and specifications.


- Packing and marking must meet stated requirements or, if not specified, are appropriate.

Specific and Technical Inspections

Inspection of Work in Progress

· During visits of a frequency appropriate to the nature of the supply contract or, exceptionally, on a resident basis, monitor the manufacturing process to ensure that products will likely meet prescribed quality standards, inspections and tests, within the contracted delivery period.

Verification of Materials

· Verify the chemical/mechanical properties of materials and components against supply contract specifications by reviewing material certificates and the supplier's traceability system. As required, witness representative tests.

Verification of In-Process Tests

· Witness selected tests, and review other test records, performed during the manufacturing process to prove material integrity and performance, including accuracy of testing methods and apparatus.

Witness Final Tests

· Witness final performance testing to confirm product complies with contract requirements, supplier's offer or recognized standards.

Inspection of Finished Product

· Examine finished product for contract compliance, check any variations found and their acceptability, and review product finish and appearance.

Packing and Marking Inspection

· Verify that packing and marking comply with contract requirements or, if not specified, are appropriate to the goods, methods of transport, expected handling and destination (see details below).

Inspection and Supervision of Loading and Unloading

Loading point:


· Inspect cargo holds of vessels/carriers before loading.

· Inspect quantity to certify quantity supplied conforms to quantity contracted.

· Visually appraise quality of bulk or bagged goods, conduct sampling and analysis before and during loading.

· Survey loading/handling operations.

Unloading point:

· Survey unloading/handling operations.


· Inspect quantity by count and/or weighing, and quality visually or by sampling and analysis, if required.

· Inspect cargo holds of vessels/carriers to confirm complete consignment has been unloaded.

Packing Inspection

· Confirm appropriate packing methods and materials are used, always assuming goods will be exposed to rain, high humidity, condensation, high temperatures, mould, dust, sea water spray and rough handling:



- For packaging standards for international shipments, refer to Annex I of this Handbook.



- For bulk goods, consumables and capital equipment, UNHCR reserves the right to waive size prescriptions and/or accept supplier's standard export packages.

Marking Inspection

· Verify accuracy, adequacy and durability of shipping marks and labels:



- Shipping marks must strictly comply with instructions in the supply contract.



- Seaworthy cases, cartons or containers are marked with stencils using waterproof ink.



- Markings are clearly legible, their size determined by the size of the case.



- All packages must bear special handling information, warnings and special labels, as required under the rules and regulations governing the acceptance of cargo for sea, rail, road or air transport.



- Dangerous or combustible cargo is packed separately, adhering to the strictest safety measures and requirements.

Annex III - Incoterms (International Commercial Terms)

Incoterms are published by the International Chamber of Commerce (ICC) in cooperation with the United Nations, to provide a set of international rules for the interpretation of the terms used in international trade contracts.

These international rules standardize local trade practices by explaining, for each of the terms, the transfer of the essential rights and obligations of the seller and buyer: the transfer of liability and the transfer of risks. Thus, the Incoterms define the moment and the place where the liability of the seller ends and that of the buyer begins.

To clarify a frequent misunderstanding about the Incoterms: they deal exclusively with the relationship between the buyer and the seller. They do not deal at all with the contract of carriage although, of course, the buyer and the seller base the contract of carriage on their contract of sale.

INCOTERMS AND STANDARD ABBREVIATIONS*

* The abbreviations in three letters given for each Incoterm are a standard reference agreed upon by the ICC and the Economic Commission for Europe of the United Nations.

The 14 Incoterms are:

EXW

Ex-Works... (ex factory, ex mill, ex plantation, ex warehouse, etc.).

Means that the seller's only responsibility is to make the goods available at his premises. In particular he is not responsible for loading the goods in the vehicle provided by the buyer, unless otherwise agreed. The buyer bears the full cost and risk involved in bringing the goods from there to the desired destination. This term thus represents the minimum obligation for the seller.



FRC

Free Carrier... (named point).

Designed to meet the requirements of modern transport, particularly such "multimodal" transport as container or "roll on-roll off" traffic by trailers and ferries. It is based on the same main principle as FOB except that the seller fulfills his obligations when he delivers the goods into the custody of the carrier at the named point. If no precise point can be mentioned at the time of the contract of sale, the parties should refer to the place or range where the carrier should take the goods into his charge. The risk of loss of or damage to the goods is transferred from seller to buyer at that time and not at the ship's rail. "Carrier" means any person by whom or in whose name a contract of carriage by road, rail, air, sea or a combination of modes has been made. When the seller has to furnish a Bill of Lading, waybill or carrier's receipt, he duly fulfills this obligation by presenting such a document issued by a person so defined.



FOB

Free On Board... (named port of shipment).

The seller must place the goods on board a ship or other carrier at the port of shipment named in the sales contract. The risk of loss of or damage to the goods is transferred from the seller to the buyer when the goods pass the ship's rail.



FOA

FOB Airport... (named airport of departure).

Based on the same main principle as the ordinary FOB term. The seller fulfills his obligations by delivering the goods to the air carrier at the airport of departure. The risk of loss of or damage to the goods is transferred from the seller to the buyer when the goods have been so delivered.



FOR or FOT

Free On Rail or Free On Truck... (named departure point).

These terms are synonymous with each other and with FOB, but are normally used only when the goods are to be carried by rail.



FAS

Free Alongside Ship... (named port of shipment).

Under this term the seller's obligations are fulfilled when the goods have been placed alongside the ship on the quay or in lighters. This means that the buyer has to bear all costs and risks of loss of or damage to the goods from that moment. It should be noted that, unlike FOB, the present term requires the buyer to clear the goods for export.



CFR or C&F

Cost and Freight... (named port of destination).

Means the seller must pay the costs and freight necessary to bring the goods to the named destination, but the risk of loss of or damage to the goods, as well as of any cost increases, is transferred from the seller to the buyer when the goods pass the ship's rail in the port of shipment. The buyer must purchase shipping insurance against the risk of loss or damage.

CIF

Cost, Insurance and Freight... (named port of destination).

This term is basically the same as C&F but with the addition that the seller has to procure shipping insurance against the risk of loss of or damage to the goods during the carriage. The seller contracts with the insurer, pays the insurance premium and provides the buyer with an insurance certificate. Caution: insurance coverage under these terms is limited.



OCP

Freight/Carriage Paid to... (named point of destination).

Like C&F, this term means that the seller pays the freight for the carriage of the goods to the named destination. However, the risk of loss of or damage to the goods, as well as of any cost increases, is transferred from the seller to the buyer when the goods have been delivered Into the custody of the first carrier and not at the ship's rail. It can be used for all modes of transport including multimodal operations and container or roll on-roll off traffic by trailers and ferries. When the seller has to furnish a Bill of Lading, waybill or carrier's receipt, he duly fulfills this obligation by presenting such a document issued by the person with whom he has contracted for carriage to the named destination.


CIP

Freight/Carriage and Insurance Paid to... (named point of destination).

This term is the same as OCP but with the addition that the seller has to procure transport insurer against the risk of loss of or damage to the goods during the carriage. The seller contracts with the insurer and pays the insurance premium.



EXS

Ex Ship... (named port of destination).

Means that the seller shall make the goods available to the buyer on board the ship at the destination named in the sales contract. The seller has to bear the full cost and risk involved in bringing the goods there.

EXQ

Ex Quay.

Means that the seller makes the goods available to the buyer on the quay at the destination named in the sales contract. The seller has to bear the full cost and risk involved in bringing the goods there.

There are two "Ex Quay" contracts in use, namely "Ex Quay (duty paid)", and "Ex Quay (duties on buyer's account)" in which the liability to clear the goods for import are to be met by the buyer instead of by the seller. Parties are recommended always to use the full descriptions of these terms, or else there may be uncertainty as to who is responsible for clearing the goods for import.



DAF

Delivered At Frontier... (named place of delivery at frontier).

Means that the seller's obligations are fulfilled when the goods have arrived at the frontier - but before "the customs border" of the country named in the sales contract. Used primarily when goods are to be carried by rail or road but it may be used irrespective of the mode of transport.



DDP

Delivered Duty Paid... (named place of destination in the country of importation).

While EXW signifies the seller's minimum obligation, the term "Delivered Duty Paid" when followed by words naming the buyer's premises, denotes the other extreme -the seller's maximum obligation. The term "Delivered Duty Paid" may be used irrespective of the mode of transport.

Annex IV - Contribution Advice Form - Example

OFFICE OF THE UNITED NATIONS HIGH COMMISSIONER FOR REFUGEES

Contribution Advice Form (KIND)

ACTIVITY: 1987 Extra Budgetary Food/OTF

NO.

6843

DATE

1 DEC 87

(1) Finance/Treasury
(1) Programming arid Co-ordination
(1) Fund Raising
(1) Registry

765 GFR

(1) Africa Desk IV
(1) Europe & Nth America Desk II
**(2) Supplies & Food Aid Services
(2) Ms von Buchwald
(1) BO Bonn
(1) BO Mogadishu
(1) Reg chron

**** KIND ****

DONOR The Government of Germany (Federal Republic of)
PLEDGE US$ 750,000 (US$ 750,000)

SUPPORTING DOCUMENTS

1. Cable to Federal Ministry for Economic Cooperation (19 Oct 87)
2. Cable from Federal Ministry for Economic Cooperation (26 Oct 87)

REPORTING REQUIREMENTS

1. Telex on delivery stating dates, quantities received and condition of goods.
2. Distribution report: final report due: 30 Apr 88.

REMARKS

1. DESCRIPTION OF GOODS: 5,000 at yellow maize as follows:


US$

- value of maize at US$ 120 per mt as per WFP price list

600,000

- International TX at 25% of value

150,000

TOTAL

750,000

2. Donor's earmarking: for SOMALIA.

3. This consignment will be shipped as follows:

- 3,000 mt shipped to Mogadishu
- 2,000 mt shipped to Berbera

4. Equivalent to DMK 1,237,500 (Rate: 1.65)

Annex V - Checklist for Donor Contributions

Refer to the CAF, Purchase Order or supplier contract, shipping notification, shipping documents, inspection reports, insurance certificate and relevant UNHCR reports to confirm the following details for each contribution, in-kind or in cash.

1. Details of Contribution:

Donor

______________

Item/Commodity

______________

Quantity

______________

Nutritional value

______________

Shelf-life

______________

Intended

______________

Beneficiaries

______________

2. Value of Contribution:

Cost of goods

___________

Freight

___________

Insurance/inspection

___________

Handling charges

___________

TOTAL VALUE

___________

Source of Valuation

___________

_________________________________

3. Date and place of purchase order:
(cash contributions)

______________________
______________________




4. Delivery:

Terms

______________________


Schedule

______________________


Modalities

______________________


Shipping documents

______________________



5. Transfer of ownership to UNHCR:



When?

______________________


Where?

______________________




6. Responsibilities for:



Insurance

______________________


Inspection

______________________


Port clearance and handling

______________________


Storage

______________________


Inland transport

______________________



7. Turnover to implementing partner:


To whom?

______________________


When?

______________________


Where?

______________________



8. Losses or spoilage:



Cause

______________________


Insurance claim filed

______________________


Value of loss

______________________


Outcome

______________________


9. Receiving Report to SFAS:

______________________



10. Takeover Certificate:

______________________



11. Distribution Report:


Required when?

______________________


Received from implementing partner

______________________


Submitted to Headquarters

______________________


12. Remarks/other information:
__________________________________________________________________________
__________________________________________________________________________
__________________________________________________________________________
__________________________________________________________________________
__________________________________________________________________________
__________________________________________________________________________
__________________________________________________________________________
__________________________________________________________________________

Annex VI - EC Taking-Over Certificate

The undersigned: ____________________________________________________________
(name, forename, business name)

acting on behalf of the recipient (or on behalf of the Commission, as the case may be):

___________________________________________________________________________

certifies that delivery has been taken of the goods listed below:

____________________________________________________________________________

- place and date of taking-over: ________________________________________________

- products: ________________________________________________________________

- tonnage or weight accepted (net, gross or gross for net): ___________________________

- number _________________ at _______________ kg/net: __________________________

- port of shipment: ____________________________________________________________

- name of vessel: _____________________________________________________________

- date of shipment or making available (if free-at-port-of-shipment, see Article 13 (3) of the Regulation): __________________________________________________________________

- port of landing: ______________________________________________________________

- final destination: _____________________________________________________________

- means of overland transport: ___________________________________________________

- date of supply if free at port of landing or, free at destination (see Articles 14 (8) and 15 (4) of the Regulation): _______________________________________________________________

The quality of the goods delivered is in accordance with that laid down in the notice of invitation to tender.

Comments or reservations: _____________________________________________________
___________________________________________________________________________
___________________________________________________________________________
___________________________________________________________________________

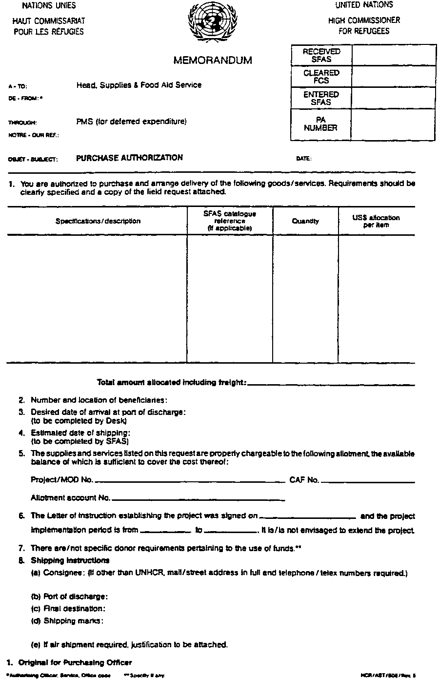
Annex VII - Purchase Authorization


PURCHASE AUTHORIZATION

Annex VIII - Quotation Request - Example

QUOTATION REQUEST - QR/02052/00001

BICYCLES FOR TANZANIA

THE OFFICE OF THE UNITED NATIONS HIGH COMMISSIONER FOR REFUGEES, GENEVA, SWITZERLAND, INVITES YOUR FIRM OFFER FOR THE FOLLOWING:

ITEM(S):

BICYCLE (ADULT MALE)

QUANTITY = 6

UNIT OF MEASURE = EACH SINGLE GEAR WITH 26 x 1.75 WHEELS FITTED WITH BALLON TYRES, 22 IN. FRAME, BACK PEDALLING BRAKE, FRONT STEEL RIM OPERATED BRAKE, KICKSTAND, TOOLBAG WITH SPANNER, TYRE LEVERS AND PUNCTURE REPAIR KIT, RUSTLESS SPOKES, STEEL BOTTOM BRACKET COMPLETE WITH BALL BEARINGS, REFLECTOR PEDALS, FULL METAL GEAR CASE, CHAIN GUARD, DYNAMO LIGHTING SET, MOUNTED PUMP, REAR CARRIER RACK AND ASSEMBLED FOR HEAVY DUTY USE.

YOUR OFFER MUST CLEARLY STATE AND INCLUDE THE FOLLOWING:

- FIRM UNIT PRICES EX-WORKS.

- FIRM TOTAL FOB (NAME PORT).

- FIRM TOTAL C+F DAR ES SALAAM. TANZANIA BY SEA/LAND TERMS.

- PRICES SHOULD BE NET AFTER DEDUCTION OF DISCOUNTS.

- FIRM DELIVERY DATE - TIME BEING OF THE ESSENCE.

- DEFECTS LIABILITY AND GUARANTEE PERIOD.

- DETAILED SPECIFICATIONS. SHOULD YOUR SPECIFICATIONS DIFFER FROM THAT CALLED FOR, PLEASE PROVIDE DETAILS.

- PLACE OF MANUFACTURE AND POINT(S) OF ORIGIN.

- TYPE OF PACKING, GROSS AND NET WEIGHTS, CUBIC DIMENSIONS.

- MONTHLY SETTLEMENT TERMS AND DISCOUNTS (TERMS OF PAYMENT).

- SHIPPING DOCUMENTATION (WHERE REQUIRED) TO BE SENT BY SELLER VIA COURIER TO CONSIGNEE WITHIN THREE WORKING DAYS OF SHIPMENT.

INFORMATION FOR BIDDERS:

1. ALTERNATIVES TO REQUESTED SPECIFICATIONS HAY BE CONSIDERED.

2. ITEMS ARE REQUIRED FOR DELIVERY TO TANZANIA HOT LATER THAN 30/04/88.

3. INSURANCE WILL BE EFFECTED BY UNHCR.

4. INSPECTION MAY BE APPLICABLE AND WILL BE ADVISED AT TIME OF PURCHASE AND ARRANGED BY UNHCR.

5. UNHCR RESERVES THE RIGHT TO ACCEPT THE WHOLE OR PART OF YOUR OFFER. THE LOWEST TENDER NEED NOT BE ACCEPTED.

SAMPLES/DESCRIPTIVE PAMPHLETS:

DESCRIPTIVE MATERIAL SHOULD BE ADDRESSED AS FOLLOWS AND RECEIVED BY CLOSING:

'QR/02052/00001' - BICYCLES FOR TANZANIA
UNHCR SUPPLIES AND FOOD AID SERVICE
P.O. BOX 2500
CH-1211 GENEVA 2 DEPOT
SWITZERLAND.

VALIDITY:

YOUR QUOTATION SHOULD REMAIN VALID UNTIL 31 MARCH 1988, DURING WHICH PERIOD A PURCHASE ORDER, IF PLACED, WILL BE ACCEPTED BY YOU.

OFFER:

OFFERS MUST BE TRANSMITTED LATEST BY 26 FEBRUARY 1988 16.00 HRS GMT AND SHOULD BE ADDRESSED TO:

'UNHCR SUPPLIES AND FOOD AID SERVICE'
'QR/02052/00001' - BICYCLES FOR TANZANIA

AND SENT VIA TELEX NO. 289506 HCR CH.

OFFERS HOT ADDRESSED AS SUCH CANNOT BE CONSIDERED.
PLEASE ACKNOWLEDGE RECEIPT OF THIS ENQUIRY AND INDICATE YOUR INTENT TO BID.

OUR TELEPHONE NO.:

- UNHCR: (022) 39.81.11
- DIRECT LINE: (022) 39.84.32

THANK YOU AND REGARDS.
UNHCR, SUPPLIES AND FOOD AID SERVICE.
GENEVA, 15 FEBRUARY 1988

NOTE: For purposes of confidentiality, the name(s) of the supplier(s) have been omitted in this example.

Annex IX - Tabulation of Bids

(Form has been photoreduced for reproduction. Actual size is 30 cm × 29.5 cm.)

BUDGET US$:
(CIF)

NAME OF SUPPLIER





QUOTATION REFERENCE AND DATE





Description of Items

Quantity

US$
Unit Pr.

US$
Total

US$
Unit Pr.

US$
Total

US$
Unit Pr.

US$
Total

US$
Unit Pr.

US$
Total

















































































FOB TOTAL US DOLLARS





FREIGHT CHARGES US DOLLARS





C+F TOTAL US DOLLARS





INSURANCE ESTIMATE US DOLLARS





INSPECTION ESTIMATE US DOLLARS





GRAND TOTAL CIF US DOLLARS





CURRENCY OF QUOTE





RATE OF EXCHANGE





SHIPPING TERMS (**)





COUNTRY OF ORIGIN (ITEMS)





WEIGHT ESTIMATED





VOLUME ESTIMATED





DELIVERY PROMISED (FOB)





ARRIVAL DATE SITE ESTIMATED





TERMS OF PAYMENT





OTD VALIDITY DATE





MEETS UNHCR REQUIRED SPECIFICATIONS





Delivery required site

Over/Under Budget

APPROVALS (WHERE REQUIRED):

DATE:

RECOMMENDED VENDOR __________________

PURCHASING OFFICER:

_____________

_____________

_________________________________________

DESK:

_____________

_____________


SPSO/HEAD SFAS:

_____________

_____________

REASON _________________________________

TSS (IF APPLICABLE)

_____________

_____________

_________________________________________

CONTACTS COMMITTEE:


_____________


PREPARED AND SUBMITTED



BY: _________________________________________

DATE: _______

(*) INDICATE CURRENCY
(**) INDICATE IF EW, FAS, FOB, CIF, C+F, ETC

UNHCR SUPPLIES AND FOOD AID SERVICE

PROJECT NO:

COUNTRY

QUOTATION REQUEST (QR) NUMBER:

NAME OF SUPPLIER





QUOTATION REFERENCE AND DATE





Description of Items

Quantity

US$
Unit Pr.

US$
Total

US$
Unit Pr.

US$
Total

US$
Unit Pr.

US$
Total

US$
Unit Pr.

US$
Total





































































































































































































































































Annex X - Purchase Order


Purchase Order

GENERAL CONDITIONS

I. ACKNOWLEDGEMENT

A duplicate of the Purchase Order is attached and marked "ACKNOWLEDGEMENT COPY". Please detach sign and date the Acknowledgement Copy and return by registered mail to the UNHCR Supplies and Food Aid Service Palais des Nations, CH-1211 Geneva 10, Switzerland.

II. ACCEPTANCE

No Purchase Order shall become effective and no contract shall exist until UNHCR has received from the Vendor written acceptance of the conditions which govern this Purchase Order either on the acknowledgement copy or by a telexed acceptance to be subsequently confirmed by a return of the acknowledgement copy, duly signed by the Vendor.

III. TAX EXEMPTION

The Vendor’s price shall reflect any tax exemption to which the United Nations and/or the UNHCR are entitled by reason of the immunities which they enjoy If it is subsequently determined that any taxes which have been included in the price are not required to be paid, or if having been paid, any such taxes are subject to refunding, the UNHCR shall deduct the amount from the contract price.

IV. DISCOUNT

Time in connexion with any cash discounts offered will be computed from the date of receipt by the UNHCR of full documentation as specified by the purchase order and/or annex there to

V. WARRANTY

The Vendor warrants the goods furnished under this Purchase Order to be free from defects in workmanship or materials This Warranty is without prejudice to any further guarantees that the Vendor provides to Purchasers, such guarantees shall apply to the goods subject of this Purchase Order.

VI. INSPECTION

The duly accredited representatives of the UNHCR shall have the right to inspect the goods called for under this Purchase Order at Vendor’s stores, during manufacture, in the ports or places of shipment, and the Vendor shall provide all facilities lor such inspection UNHCR may issue a written waiver of inspection at its discretion Any inspection earned out by representatives of the UNHCR or any waiver thereof shall not prejudice the implementation of other relevant provisions of this Purchase Order concerning obligations subscribed by the Vendor, such as warranty or specifications.

VII. PACKING

The Vendor shall pack the goods with new sound materials and with every care, in accordance with the normal commercial standards of export packing for the type of goods specified here in. Such packing materials used must be adequate to safeguard the goods while in transit. The Vendor shall be responsible for any damage or loss which can be shown to have resulted from faulty or inadequate packing

VIII. EXPORT LICENCE

The Purchase Order is subject to the obtaining of any export licence or other governmental authorization which may be required. It shall be the responsibility of the Vendor to obtain such licence or authorization, but the UNHCR will use its best endeavours to assist. In the event of refusal thereof, the Purchase Order will be annulled and all claims between me parties automatically waived

IX. FORCE MAJEURE

Force Majeure as used herein shall mean acts of God, laws or regulations, industrial disturbances, acts of me public enemy, civil disturbances, explosions end any other similar cause of equivalent force not caused by, nor within me control of, either party and which neither party is able to overcome As soon as possible after the occurence of the force majeure, and within not more than fifteen days, the Vendor shall give notice and full particulars m writing to the UNHCR of such force majeure, if the Vendor is thereby rendered unable, wholly or in part, to perform his obligations and meet his responsibilities under this Purchase Order. The UNHCR shall then have the right to terminate the Purchase Order by giving in writing seven days notice of termination to the Vendor.

X. DEFAULT

In case of default by the Vendor, including but not limited to failure or refusal to make deliveries within me limit specified, the UNHCR may procure the goods or services from other sources and hold the Vendor responsible for any excess cost occasioned thereby. Furthermore, the UNHCR may by written notice terminate the right Of the Vendor to proceed with deliveries or such part or parts thereof as to which there has been default.

XI. REJECTION

In the case of goods purchased on the basis of specifications, the UNHCR shall have the right to reject the goods or any part thereof if they do not conform to specifications.

XII. DISPUTES - ARBITRATION

Any claim or controversy arising out of or relating to this or any contract resulting herefrom, or to the breach, termination or invalidity thereof, shall be settled by arbitration in accordance with the rules governing arbitration as set out by the United Nations Commission on International Trade Law, as at present in force, subject to such modification as the parties may agree in writing The parties agree to be bound by any arbitration award rendered in accordance with this paragraph as the final adjudication of any such claim or controversy.

XIII. PRIVILEGES AND IMMUNITIES

Nothing contained in this Purchase Order shall be deemed a waiver, express or implied, of any privilege or immunity which the United Nations High Commissioner for Refugees may enjoy, whether pursuant to the Convention on Privileges or Immunities of the United Nations or any other convention or agreement.

XIV. ASSIGNMENT

The Vendor shall not assign, transfer, pledge or make other disposition of this Purchase Order or any part thereof or of any of the Vendor’s rights, claims or obligations under this Contract except with the prior written consent of the UNHCR.

XV. BANKRUPTCY

Should the Vendor be adjudged bankrupt, or should the Vendor make a general assignment for the benefit of its creditors, or should a receiver be appointed on account of the Vendor’s insolvency, the UNHCR may under the terms of this Purchase Order, terminate this Purchase Order forthwith by giving the Vendor written notice of such termination.

XVI. ADVERTISING

Unless authorized in writing by the UNHCR, ma Vendor shall not advertise or otherwise make public the fact that he is a supplier to me UNHCR and/or the United Nations, or use the name, emblem or official seal of the UNHCR and/or of the United Nations or any abbreviation of the name of the UNHCR and/or the United Nations for advertising purposes or for any other purposes.

XVII. AMENDMENTS

No changes in or modifications to this Contract shall be valid unless mutually agreed between both parties and confirmed by an official amendment.

XVIII. NOTICE

Service of any notice shall be deemed to be good if sent by registered mail, telex or by cable to the addresses of both parties, set out in the heading of this Purchase Order.

Annex XI - Letter of Regret - Example

United Nations High Commissioner For Refugees
Palais des Nations
CH-1211 Geneva 10

tlx: 289506 HCR CH
tel: 31.02.61

Geneva, 27 May 1987

QR: 00656/00002
DIESEL DRIVEN PUMP UNITS AND WORKSHOP FOR IRAN.

Dear Sirs

We thank you for your response to the above request, but regret to inform you that we did not select your offer on this occasion. We look forward, however, to further business co-operation with you in the future.

Thank you and regards
UNHCR Supplies and Food Aid Service

Annex XII - Shipping Advice Telex - Example

TO

: UNHCR SUDAN

OUR REF

: HCR/SFAS/88S/2113



PURCHASE ORDER

: PO/01506 - SHIPMENT 01F

TITLE

: TOYOTA HJ60 AND BJ75 FOR SUDAN

PROJECT

: HAM-71590-641-0-627

VESSEL/FLIGHT

: 'MEIJIN'

BL/AWB NO

: NYK-3852

DEPARTED FROM

: NAGOYA, JAPAN 29/02/88

ETA

: PORT SUDAN 27/03/88

INSURED FROM

: NAGOYA

TO

: PORT SUDAN

DOCUMENTS COURIERED BY SUPPLIER

KINDLY CONFIRM DATE DOCUMENTS RECEIVED

UPON ARRIVAL GOODS AT PORT SUDAN
KINDLY TELEX SFAS ARRIVAL DATE AND WHETHER GOODS
RECEIVED IN GOOD ORDER

PLS REPLY TO UNHCR SFAS. TELEX: 289506 HCR CH
ATTENTION OF GILDA SEBASTIAN

Annex XIII - Shipping/Insurance Advice and Receiving Report - Example


Shipping/Insurance Advice and Receiving Report - Example

Annex XIV - Transmittal of Shipping Documents - Memorandum

NATIONS UNIES
HAUT COMMISSARIAT POUR LES REFUGIES


MEMORANDUM

UNITED NATIONS
HIGH COMMISSIONER FOR REFUGEES

Date: _____________

Ref: ______________

TO: (receiving agent)

FROM: (UNHCR consignee)

REFERENCE:

Project No.: ____________ Vessel/Carrier: ____________________


PO/CAF No.: ___________ ETA: ____________________________


Description of the Goods: __________________________________

Please find attached the following shipping documents for the above consignment:

- Original Bill of Lading/Air waybill
- Commercial Invoice
- Packing and Weight List
- Certificate of Origin
- Inspection Certificate/Certificate of Analysis
- Customs Exemption Certificate
- Other ______________________________

Upon arrival of the goods at (port/airport), please oversee discharge, clearance and port handling. Notify this office immediately of the exact time/date of arrival, the date(s) of discharge of the cargo, its apparent condition, any losses or damage and where these occurred.

In the case of break-bulk shipments, please arrange a survey on discharge and on release of the cargo. For containerized shipments, kindly not the seal number and conduct a survey when the container Is opened.

Please notify us in advance of the date and place when the goods will be ready for release/collection by the implementing partner concerned.

In every case of damage or loss, a survey report of the shipment is needed, and you are requested to file a Protest Letter with the carrier and obtain a Shortlanding Certificate.

Your invoice for these services must be accompanied or preceded by your written report of goods/quantities discharged and cleared from the port, and any events or irregularities which occurred during the receiving operation. Where required, please supply survey reports, Shortlanding Certificates, a copy of the Protest Letter, and any replies or related correspondence or documentation.

Annex XV - Bill of Lading - Example


BILL OF LADING - EXAMPLE


Figure

Annex XVI - Letter of Guarantee - Example

LETTER OF GUARANTEE

The undersigned state to be the consignees of:

(description of the goods, number of packages, and shipping marks)

shipped by: _____________________________________________________________
in order and arrived per steamship: __________________________________________
on: _________________________________ from: _____________________________

In respect of the above goods properly endorsed Bills of Lading are not yet in their possession. Nevertheless they desire to take reception of the said goods. In consideration whereof they undertake to pay the freight, expenses, contribution in general average and any other amount which the consignee might be liable to pay under the Bill of Lading or contract of carriage. Moreover they undertake to hold harmless the master of the vessel, the carrier, the owners and their agents:

(name of the ship's agent)

against all injurious consequences of any nature whatsoever, which for them or one of them might result from the delivery of the goods to the undersigned. Whenever a claim in this respect would be made against them or one of them in or out of Court, by a third party, the undersigned hereby irrevocably authorize them or him to make at the expense and for the account of the undersigned - that is after consultation with the undersigned, insofar in the opinion of the party held responsible there are no objections to such course - any settlement with the third party which they deem advisable, without obligation to justify such settlement. Both the undersigned and the co-undersigned undertake, jointly and severally, that in the event one of the guaranteed parties is held liable in connection with the delivery of the said goods without Bills of Lading, they, at the first request in writing of the agent of the said vessel, will pay in cash, as security for their obligations entered into hereby, in the hands of a firstclass bank or banker at (named city) to be appointed by the said agents, an amount equal to the damage claimed from the guaranteed party, increased with ten per cent. Nonetheless the undersigned undertake to surrender the Bills of Lading, duly signed and endorsed.

Further the undersigned undertake to put the goods at the disposal of the agents of the said vessel at their first request - insofar the undersigned will yet have or can yet obtain possession of same - as soon as the said agents notify in writing that someone else than the undersigned, as regular holder of the Bill of Lading relating to the above goods has come forward as consignee.

In the event third parties, rightly or wrongly, might arrest any property of the guaranteed parties, as security for a claim referred to before, then the undersigned at the first request shall cause the goods to be released from arrest at their expense and for their account by providing security, and the guaranteed parties shall be indemnified for all damage caused by such arrest.

The co-undersigned: ____________________________________________________

waiving all privileges and exceptions accorded by (country) law to guarantors declare hereby to bind themselves as surety for and severally as co-debtor with the first undersigned for the true fulfilment of the obligations entered into by the first undersigned in favour of the guaranteed parties.

(Signature of UNHCR consignee and
Co-signature of UNHCR receiving agent)

(Location and date of signing)

Annex XVII - Shipping Insurance Request

NATIONS UNIES
HAUT COMMISSARIAT POUR LES REFUGIES


UNITED NATIONS
HIGH COMMISSIONER FOR REFUGEES

SHIPPING INSURANCE REQUEST

Date: _____________

To:

Supplies and Food Aid Service


Attention: Shipping and Insurance Officer


cc.

Geographic Desk



Consignee

From: Branch Office ________________

Please provide shipping insurance for the following shipment. The cost of the insurance premium should be charged to: _____________________________________________

The consignee will notify you directly on receipt of the shipment.
___________________________________________________________

P/O

Project

:

Item

:

Packing

:

C&F Value

:

Supplier

:

Vessel/Flight or Truck Number

:

Departure Date

: / / From:

E.T.A.

: / / To:

Insured

From

:


To

:

B/L, AWB or Truck Waybill Number

:

Consignee

:

Shipping Marks

:

Annex XVIII - Protest Letter

REGISTERED

Date

PROTEST LETTER FOR LOSS AND/OR DAMAGE

Notice for claim concerning:

_________________________________________________


_________________________________________________


_________________________________________________


_________________________________________________


_________________________________________________

This is to inform you that upon taking delivery of the above-mentioned consignment, the following irregularities have been ascertained:

On behalf of UNHCR (when the letter is sent by a designated UNHCR agent) we hold you fully responsible and liable for the financial loss sustained and for all other expenses and/or consequences which may arise.

We shall revert to this matter indicating the time and place of a survey to assess the full extent of the loss and/or damage, to which you are invited to attend.

In the meantime we would appreciate your advising us (in English) how you propose to settle this matter.

Yours faithfully

TO: (Carrier's Agent)

Annex XIX - Survey Report - Example

Should any of the information called for in this report not be available, the reason for the omission should be stated


SCHEDULE C

PO/1653

Report No. PS/410/88

STANDARD FORM OF
SURVEY REPORT (GOODS)
for use by LLOYD'S AGENTS and SUB-AGENTS only

This report is issued for use in connection with the claim against the parties responsible, but does not imply that the loss is recoverable from Underwriters. This must depend upon the terms of the Policy of Insurance.

1.

(a) Name of consignee of goods is specified in annexed Schedule.

(a) The UNHCR Representative in Suden - Khartoum


(b) Name of applicant for survey (if not Consignee please specify relationship).

(b) Talab (...)


(c) Name/Registration Number of Vessel/Aircraft/Conveyance from which goods discharged.

(c) "KHARTOUN"


(d) Port/airport/place of discharge and date of arrival...

(d) Port Sudan on 7th, May, 1988


(e) Date goods landed at port/airport/place of discharge...

(e) 10th, May, 1988


(f) If transhipped, name/registration number of original carrying vessel/aircraft/conveyance and port/airport/place of transhipment.

(f) Not transhipped


(Note - If goods lightered please give details under "Further remarks" on schedule.)


2.

(a) la whose custody were the goods held between time of discharge and delivery to place where survey held?

(a) Consignees Agents


(b) Where and what storage was afforded to the goods during this period.

(b) Facilities

3.

(a) Were goods transported by road or rail or by other means from port/airport/place of discharge to place where survey held?

(a) By Road Trucks


(b) If so, give date of commencement of transit and date of arrival at place of survey.

(b) 10th, May, 1988


(c)Give name of carrier for each transit ... ... ...

(c) Consignees transport

4.

(a) What records/receipts were issued at time of discharge and up to delivery to consignee and what exceptions if any were noted at each stage?

(a) See Sticker


(b) Condition of goods when finally delivered ...

(b) See Schedule


(c) If there was any delay in taking delivery of goods, state consignees reasons.

(c) No delay

5.

(a) If goods transported in container, please state type, number, marks and type of transit, e.g. LCL, FCL or house to house.

(a) Not applicable


(b) Was container seen by surveyor before or after being de-stuffed?

(b) Not applicable


(c) Was seal inspected by surveyor? (State number and condition.)

(c) Not applicable


(d) If not seen, state by whom it was removed...

(d) Not applicable


(e) Where and by whom was container de-stuffed? ...

(e) Not applicable


(f) Condition of container and cargo at that time

(f) Not applicable


Note - If not seen by surveyor state condition is reported by any other party, e.g. de-stuffing depot or consignee and name the party concerned

6.

(a) Date of application for survey ... . ...

(a) 28th, May, 1988


(b) Date and place of survey...

(b) 25th, May, 1988 at Dein Geloud District


(c) IS there was any delay in applying for survey, state consignees reasons.

(c) No delay

7.

(a) Description and condition of interior and exterior packing

(a) Bags


(b) Was packing new or second-hand? ...

(b) New


(c) Was packing customary? ... ... .... ...

(c) Customary


Note - If in the surveyors opinion the packing was not adequate for this transit, give full explanation under "Further remarks".

8.

(a) Description of loss/damage ... ...

(a) See Schedule


(b) After examination, cause attributed by surveyor to...

(b) See Schedule


(c) In ease of water damage, state whether salt water, freshwater or sweat, and whether salt water contamination test was carried out.

(c) See Schedule

9.

(a) Is Lloyd's agent aware of any casualty/accident suffered by the carrying vessel/aircraft/conveyance to which loss/damage found might be attributable?

(a) Not known


(b) If so, give details ...

(b) Not applicable


(c) Was a Master's Protest lodged or any other form of notification given to the appropriate Authorities?

(c) Not known

10.

(a) Have Bill of Lading/CMR/Air Waybill or other documents of carriage been inspected?

(a) Houston B/L NO., not sighted


(If so, give date ad number of bill and whether original or copy.)



(b) What is the reference therein to the conditions of goods?

(b) Not known

11.

Has the commercial invoice been inspected?
(If so, give Invoice No., due and amount.)

Yes

12.

On the date of compromise of damage agreed with consignee or of disposal sale, the arrived sound market value amounted to
(State whether duty paid or in Bond.)

Not applicable

13.

In the interest of all parties concerned, the damage has been assessed by way of compromise and a fair and reasonable allowance on arrived sound market value has been agreed amounting; to

Not applicable

14.

No compromise being agreed with consignee, the damaged goods were, with our approval, and the consent of me consignee, sold by public sale or private tender for account of the consignee. The proceeds, as per attached sales account, amounted to

Not applicable

15.

(a) Dudes payable on goods in a sound sue are

(a) Duty paid in full


(b) In view of the loss/damage, has the consignee applied for a rebate of duty and with what result?

(b) No rebate of duty allowed

16.

(a) Has consignee given notice of loss/damage to or made a claim against ship/airline/railway, other carriers or bailees?

(a) Yes, to the steamship Agents


(If not, what reason does consignee give)



(b) Date on witch consignee states goods delivered into his custody.

(b) 10th, May, 1988


(c) Date on which consignee gave notice of loss/damage or made a claim and to whom addressed.

(c) 22nd, May, 1988


(d) Summary of reply if received ...

(d) "Liability repudiated"


(e) Was a joint survey by carriers/bailees and consignee held? If so, on what dale and where?

(e) No


(f) Name of other surveyor(s) and by whom appointed

(f) No

17.

Rate of exchange on date of sale or agreement as to loss was
(Local currency a currency of invoice)

Rate to be checked with the Banks

18.

Name of surveyor appointed by the Lloyd's Agent. (Please state if surveyor is member of the Lloyd's Agent's staff.)

AHMED ZAKI RUSHDI, [...] OF LLOYD'S AGENTS STAFF

FURTHER REMARKS. Note: If there has been any delay in holding survey or in issuing this report, the reasons must be stated below.




______________________________________________________________________________

Certified correct and approved and issued without prejudice and subject to the terms, conditions amount of the Policy of Insurance

PLACE Port Sudan

DATE 29th, May, 1988

The following fees have/have not been paid by the applicant for survey: -

(Delete whichever does not apply.)

Agency fee

LS. 160.000 ms

Surveyor's fee


Expenses

LS. 20.000 ms

Administrative Charge

LS. 20.000 ms

Total

LS. 200.000 ms

Report No. PS/410/88

SCHEDULE

NOTE: It is the responsibility of the Assured to separate the damaged packages from the sound. In case of shortage. Lloyd's Agent should slate if possible, in addition to the following details, the invoiced and landed weights of the goods, and weight at the time of survey.


Report No. PS/410/88

Annex XX - Selection Criteria for Heavy Duty Vehicles

Consider each of the following criteria when identifying fleet vehicle needs in the field, and for selecting the most appropriate make and model. Each factor can be weighed in terms of its importance in a particular field situation.

Requirements Definition



What is to be carried?

Bulk or packaged goods

Estimated weight

Stacking requirements

Perishables or other delicate goods



How much, how often?

Quantities per month

Quantity per shipment

Irregular quantities



Over what distance?

Long distance

Short distance (distribution)



Where?

Flat areas or mountains

Road/weather conditions

Density of traffic

Load limits - roads, bridges, ferries, etc.



Loading/unloading?

Access from side/rear

High/low, fixed, removable, or drop-down sides

Open or closed platform

Load support structures

Tarpaulin, ropes, with/without roof "bows"

Cargo protection (climate, security)

Auxiliary equipment (crane, elevator, tailboard)

Cargo box security lock


Suitability of Potential Makes and Models



Size of vehicle:

Utility weight (load capacity) and total weight

Number of axles

Usable space - m2 and m3

Overall dimensions of vehicle

Suitability to operate with cargo trailer

Legal restrictions



Technical data:

Engine power: ratio HP/total weight = 6 for diesel engines, plus 15-20% more HP for poor roads or higher altitudes

Maximum torque and corresponding rpm

Proportion utility weight to total weight

Distance between axles, weight distribution

Weight per axle (legal load limits)

Ground clearance

Suitability for driving off-road

Four-wheel/front-wheel/rear-wheel drive

Type of cabin (seating, with/without bonnet)

Gears (number, synchronization)

Braking system

Size, number, type of tires

Suspension

Spoiler

Size and location of fuel tank

Lights

Mechanical and electrical connection for trailer

Colour and markings



Driver comfort:

Heating and ventilation

Air conditioning or electric fan

Seats, with arm-rests/head-rest

Power-assisted steering (necessary on all vehicles over 10 tons gross weight)

Access

View/mirrors

Radio

Bunk bed fitted into driver's cabin

Lockable box for personal items


Procurement and Maintenance Assessment



Purchasing considerations:

Fleet standardization

Optional equipment

Expected expenditures for maintenance/repairs

Experience of other fleet operators

Test driving

Optimum time for purchase (delivery lead-time)

Purchase price and expected life span

Funds available



Operation and maintenance:

Registration

Insurance

Class of driver's licence required

Fuel type, availability and consumption rate

Lubricants

Serviceability

Spare parts (availability, cost)

Qualification of workshops

Location of workshops

Annex XXI - Checklist for Receipt/Delivery of Vehicles

1. Purchasing/shipping details:

______________________________


· Project Symbol/MOD

______________________________


· P.O. Number

______________________________


· Bill of Lading Number

______________________________


· Date Discharged

______________________________


· Ship's Agent

______________________________


· Forwarding Agent

______________________________


· Date Cleared from Port

______________________________



2. Vehicle information:



· Vehicle make/model

______________________________


· Engine number

______________________________


· Chassis number

______________________________


· Keys supplied (number of sets)

______________________________



- ignition




- doors




- fuel tank




- spare wheel




- other (specify)




3. Pre-delivery inspection:



· In accordance with manufacturer's specifications

______________________________


· Performed by

______________________________


· Date completed

______________________________


· Comments/irregularities

______________________________


· Claim for damages

______________________________


· Install communications equipment

______________________________



4. Vehicle markings:



· What? Where?

______________________________


· Date completed

______________________________



5. Vehicle registration:



· Registration number

______________________________


· Registered to

______________________________


· Date registered

______________________________


· Original/copy registration supplied

______________________________



6. Insurance coverage:



· Named Insured Insurance company

______________________________


· Arranged by

______________________________


· Type of coverage

______________________________


· Effective date

______________________________


· Expiry date

______________________________


· Premiums paid by

______________________________



7. Delivery of the vehicle:



· Delivered to

______________________________


· Effected by whom? How?

______________________________


· Date delivered

______________________________


· Receipt acknowledged by whom?

______________________________


· Keys delivered to whom?

______________________________



8. Inventory and operational control:



· Vehicle recorded In inventory? Date

______________________________


· Vehicle operating and maintenance record established? Date

______________________________


9. Remarks/other relevant information:

_____________________________________________________________________________

_____________________________________________________________________________

_____________________________________________________________________________

_____________________________________________________________________________

Annex XXII - Rules for Drivers

A. Immediate dismissal may result from the following:

1. Drinking alcoholic beverages, being in a drunken state, showing characteristics of drug or other substance abuse, working without sleep or exhibiting any other behaviour which produces a physical condition not suitable for driving.

2. Theft of any equipment, commodity or item carried in or on the vehicle.

3. Gross negligence resulting in an accident causing damage or injury.

B. Drivers must also obey the following rules and are subject to disciplinary action for failing to do so:

1. Perform daily and weekly vehicle checks and confirm compliance in the Vehicle Log Book. Report deficiencies as soon as possible to the fleet manager. Keep the inside and outside of the vehicle clean and in good order.

2. Comply with all local traffic rules. No passenger or superior may authorize or order violations. In the case of an emergency, the driver alone may decide to disregard any rules (and be responsible for the consequences). Unless other lower limits are valid, maximum vehicle speed is limited as follows:

- in urban areas: 60 km/h
- on country roads: 80 km/h
- on highways: 120 km/h
- off-roads: 40 km/h

3. Do not leave a vehicle unattended, unless it is parked or locked in a place considered to be safe under the given local circumstances. Drivers are not responsible for personal belongings or baggage of passengers left in the parked vehicle unless specifically requested to guard them.

4. Refuel the vehicle in due time to avoid an empty fuel tank. Make sure that sufficient fuel reserves are carried on field trips.

5. Inform the base fleet manager by the fastest means in case of breakdown, accident or other operating irregularities, to arrange repairs and to establish the necessary reports and documentation.

6. Comply with regulation working hours. Unless more restrictive regulations apply locally, actual driving time per day may not exceed 10 hours, followed by a rest period of 6 hours minimum. Duty time other than actual driving time counts as 50% of driving time.

7. Observe the periodic maintenance schedule for the vehicle. Inform the fleet manager in advance when maintenance is due, so that vehicle operations can be scheduled accordingly.

C. Safety rules are strongly recommended:

1. Safety belts should be worn at all times by the driver and any passenger(s) in the front seat. Use of seat belts in the rear seat is recommended.

2. Passengers, other than staff members or persons authorized by the fleet manager, are not allowed on board the vehicle, except in an emergency.

3. Loads on the roof rack of a light field vehicle should not exceed 50 kg for a long-wheelbase vehicle.

D. Suggested local rules which may apply:

1. All vehicle occupants may require special clearance or permits to travel in vehicles.

2. Additional safety precautions may be needed when vehicles park outside the office compound or in certain areas.

3. Project or official vehicles should never be used for private commercial purposes. Carrying non-refugee goods or passengers should be prohibited.

4. Local reporting procedures may include other requirements besides maintaining a Vehicle Log Book, such as signing take-over documents for assigned vehicles, completing Vehicle Checklists or submitting Vehicle Defects Reports.

5. Special security instructions may be necessary in high-risk areas.

6. Administrative procedures may apply to the acquisition of fuel and the authorization of maintenance and repairs.

Annex XXIII - Drivers' Checklists for Vehicle Inspection and Cleaning

Daily:

1. Check tires visually for pressure and damage.

2. Check auxiliary equipment - first aid kit, tool kit, spare tire(s), vehicle documents, fuel/water Jerrycans, flashlight, etc.

3. Adjust wing and rear view mirrors.

4. Check steering leeway.

5. Check battery, if starter operation is slow.

6. Check fuel level.

7. Check handbrake.

8. Check clutch leeway.

9. Check oil pressure (meter or light).

10. Check brakes within first 100 m. of driving.

11. Remove dirt, paper, cigarette ashes from ashtrays, floor, etc.

12. Clean the windshield, side and rear windows, mirrors, lights and reflectors.

Enter "daily checks performed" in the Vehicle Log Book, and any findings. Report any losses, damage or needed repairs promptly to the fleet manager.

Weekly:

1. Check all lights - front regular, high beam, parking and turn-signal lights, rear running, brake, reverse and turn-signal lights, interior and instrument panel lights.

2. Check brakes and brake fluid.

3. Check radiator fluid level.

4. Check engine oil level.

5. Check windshield washer fluid level.

6. Check hydraulic fluid level, if applicable.

7. Check tires (profile, rim, pressure).

8. Check spare tire(s) pressure.

9. Inspect engine and chassis for any oil leaks or other irregularities.

10. Check all door locks, window operation and windshield wipers.

11. Check auxiliary equipment:

- contents of first aid kit, tool kit, fuel and water Jerrycans,
- air conditioning,
- locks and keys for fuel tank, spare wheels, water and fuel can holders,
- radio (conduct two-way radio check),
- and other equipment, such as a winch.

12. Wash and clean the vehicle exterior.

13. Vacuum or sweep the interior, clean floor mats, seats, luggage and glove compartments.

14. Clean the interior of all windows.

Enter "weekly checks performed" in the Vehicle Log Book, and any findings. Report any losses, damage or needed repairs promptly to the fleet manager.

Annex XXIV - Vehicle Accident Report


Vehicle Accident Report (a)


Vehicle Accident Report (b)

Annex XXV - GS.45 - Property Survey Board


GS.45 - Property Survey Board

OFFICE DES NATIONS UNIES A GENEVE


UNITED NATIONS OFFICE AT GENEVA

COMITE DE CONTROLE DU MATERIEL - PROPERTY SURVEY BOARD

INSTRUCTION FOR COMPLETING THE FORM

a) More than one item of property may be lilted simultaneously on the same form provided that the nature of the cases, the recommended dispositions and the recommended financial responsibilities are the same for all items.

b) If space is insufficient in any section of the form, submit the required information as an annex attached to each copy of the form.

c) Any other attachments, such as police reports and statements of witnesses, may be submitted in original only, provided they are in English or French. Documents in other languages must be accompanied by a translation.

d) Where information requested is not applicable, insert in the space reserved for this purpose: N/A.

1. Case report No.: will be assigned by the Secretary of the Property Survey Board at Geneva.

2. Originating office: specify organization, unit (Division-Section) and location.

3. Quantity: indicate the number of items for disposition in each descriptive category.

4. Description: Give short description of the property (e.g. “typewriter, Remington Rand”, “desk wood”; “automobile. Chevrolet, Biscayne 1969 Sedan, 80,000 km”).

5. Identification: list identification number used in United Nations if such exists, and manufacturer’s serial number (for vehicles, the chassis number).

6. Year of purchase: Indicate year property was purchased (i.e. received from vendor).

7. Unit value: if quantity is more than one, indicate unit cost at time of purchase, as shown In inventory records.

8. Total value: indicate total cost at time of purchase of the full quantity lilted under Item 3, as shown in Inventory records.

9. Nature of survey cue: check appropriate box and elaborate as necessary under Section 12.

10. Recommended disposition:

10.1 Repair: give estimated cost of repair
10.2 Disposal: check appropriate box taking into account that:

DESTRUCTION: is limited to materials or property of special nature such as postage stamps, flags, ammunition, coding machines, etc...., the disposal of which necessitates their physical destruction.

DISCARD: is used for materials which can be thrown away, to all cases, full justification must be given in Section 12.

11. Recommended financial responsibility: check appropriate box to indicate who should bear the financial responsibility except in cases of wear, scheduled replacement or surplus). Additionally, in Section 12, explain reason for recommendation.

12. Summary of case: describe circumstances and, if applicable, give a summary of investigation as detailed below. Elaborate the recommendations to the extent necessary for complete clarity.

12.1 For vehicle accident case: please complete form GS.46 accurately. Specify under para. 17 the purpose of the journey indicating clearly whether or not it was for official business. Make recommendation as to fault and as to any financial assessment which should be made against a staff member or other party. In addition, the rationale underlying this recommendation should be presented.

12.2 For loss, theft or damage cases: provide full details in the case, summarizing the salient points made by persons, witnesses and investigators involved and indicating who was responsible, whither there was negligence and what effort was made to recover the lost or stolen property. Attach police report, signed statements of persons and any witnesses involved, whenever possible. Make recommendation as to fault and as to any financial assessment which should be made against a staff member or other party. In addition, the rationale underlying this recommendation should be presented.

12.3 For wear, surplus, replacement, inventory discrepancy or other cases: give a brief explanation to substantiate the recommendation for disposal. Where item is for SALE, state who will pay customs duties, if any. Whenever possible give estimate of amounts involved.

SUBMISSION OF FORMS

ORIGINATING OFFICES AWAY FROM GENEVA: should date, sign and forward completed form and attachments to their PARENT OFFICE at Geneva, while keeping copy No. 7.

ORIGINATING OFFICES AT GENEVA: should date, sign and submit the completed form directly to the Secretary of the Property Survey Board Geneva, while keeping copy No. 7.

13. Parent office at Geneva: should insert its recommendation and date, sign and submit the completed form to the Secretary, Geneva Property Survey Board, while keeping copy No. 6.

GEN-12 (3-87)

Annex XXVI - Inspection of Storage Conditions*

* Adapted from ICRC Red Cross Cargo.

Item

What to Look For:

Storage Conditions:

Conservation Life in Humid Climate:

Remarks:

Blankets and Clothing

Packaging, dampness; clothing should be clean

Dry, ventilated on pallets

Indefinite, if properly stored

Damp blankets and clothing must be dried immediately. Watch for moths.

Tents

Packaging, dampness

Dry, stacked, on pallets If possible

Indefinite, if properly stored

Damp patches must be dried promptly.

Fuel or Kerosene

Moisture-proof storage containers in clearly marked "no smoking or open flames" area

Fenced area or shed, locked, shaded, away from the main warehouse

Indefinite, if properly stored

Subterranean bulk storage tanks are best, but some fuel is stored in 200-litre drums.

Medicines

Well organized and secure storage, all Items with current shelf life

Dry, cool, ventilated and temperature controlled, if necessary, to preserve shelf life

Variable or a shown on label, under controlled conditions

Combustible items, such as alcohol and ether, must be stored separately, preferably outside main storage area.

Cereals

Grains dry, ungerminated, without impurities; flour dry and not lumpy to touch, sweet odour; maximum moisture content: 15%

Dry, cool, ventilated on pallets, relative humidity of the air: 70% maximum

Approximately 6 months

Check the moisture level, odour, live parasites.

Canned Products

Cans neither rusty nor bulging; cartons in good condition, no leakage, expiry date

Stack on pallets, if possible

6-12 months (see expiry date)

Distorted cans (bulging lids) or gases whistling out when a can is opened indicate the contents are inedible.

Powdered Milk in Bags

Dry, clean odour, ivory colour

Dry, cool, ventilated on pallets, shaded

8-10 months (full cream) 1 year (skim)

Milk powder sometimes becomes hard, but this does not alter its value, provided that its odour and colour do not change. DSM can be kept 2-3 years in the dark at about 15°C.

Crystallized Sugar

Dry, granulated, no clumps, shiny crystals

Dry, cool, ventilated on pallets, relative humidity of the air; 70% maximum

Several years

Sugar quickly absorbs humidity. Dry the sugar in loose layers. Damp sugar in blocks is fit for human consumption.

Annex XXVII - UNHCR Distribution Report


Distribution Report (a)


Distribution Report (b)

TO PREVIOUS SECTION OF BOOK TO NEXT SECTION OF BOOK

CD3WD Project Donate