Back to Home Page of CD3WD Project or Back to list of CD3WD Publications

CLOSE THIS BOOKCircuits, Formulas and Tables Electrical Engineering - Basic vocational knowledge (Institut für Berufliche Entwicklung, 201 p.)
11. Basic symbols and formulas of electrical engineering
VIEW THE DOCUMENT(introduction...)
VIEW THE DOCUMENT11.1. General direct current engineering
VIEW THE DOCUMENT11.2. Magnetic field
VIEW THE DOCUMENT11.3. Law of induction
VIEW THE DOCUMENT11.4. Electric field
VIEW THE DOCUMENT11.5. Alternating current engineering
VIEW THE DOCUMENT11.6. Calculation of power

Circuits, Formulas and Tables Electrical Engineering - Basic vocational knowledge (Institut für Berufliche Entwicklung, 201 p.)

11. Basic symbols and formulas of electrical engineering

The following is valid:

I

= current intensity in A

E

= empressed voltage in V

U

= voltage, terminal voltage in V

R

= resistance in w

L

= inductivity in H

w

= gyro-frequency in or Hz

f

= frequency in or Hz

C

= capacity in F

r

= resistivity in

c

= unit conductance in

A

= conductor cross-section in mm2

d

= diameter in mm

P

= power in W (active power)

Q

= reactive power in Var

S

= apparent power in VA

W

= work in Wh or Ws

cos j

= power factor

h

= efficiency

= flux in A

B

= magnetic induction in T or or

H

= magnetic field strength in

E

= electric field strength in

f

= magnetic flux in Wb or Vs

F

= force in N

v

= velocity in

w

= number of turns

t

= time in s or h

J K

= initial temperature

J W

= final temperature

RK

= resistance at initial temperature

RW

= resistance at final temperature

µ

= temperature coefficient in

p

= 3,14

influence of the temperature on the resistance of the conductor

11.1. General direct current engineering

Ohm’s Law

power

P = U2 · I

[W]


P = I2 · R

[W]


[W]

work

W = U · I · t

[V · A · s = Ws]


W = P · t

[W · s = Ws]

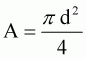
diameter of a conductor

[mm2]

resistance of a conductor

[W]


[W]

influence of temperature on the resistance of the conductor

RW = RK

[1 + µ(J2 - J1)]

Connection of resistances and power sources

· series connection


Figure


Figure

RG = R1 + R2 + R3 (total resistance)

U = U1 + U2 + U3.....

EG = E1 + E2 + E3

condition: Ri1 = Ri2 = Ri3

U = I · Ra

2. Kirchhoff’s Law

The sum of all voltages around a closed path in an electrical system is zero.

The sum of the impressed voltage is equal to the sum of the voltage drops.

· parallel connection


Figure


Figure

RE = equivalent resistance


IG = total current intensity


Condition:


Equal power sources are connected in parallel.


E = E1 = E2 = E3

for 2 resistances connected

for n equal resistances


IG = I1 + I2 + I3

1. Kirchhoff’s Law

At each junction the sum of the currents flowing toward the junction is equal to the sum of the currents flowing away from the junction.

IG - I1 - I2 - I3 = 0


Figure

11.2. Magnetic field

flux:

magnetic flux:

magnetic resistance:

1 = magnetically effective length in m

A = flux passage area in m2

comparative figure ur for air = 1, 000 000 4

magnetic permeability

relative permeability

mr - comparative figure

induction constant

magnetic field strength

magnetic induction

B = m · H = mo · mr · H


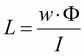
11.3. Law of induction

induced voltage

[V]

self-induction




- self-inductance

[H]



[H]


- voltage of the self-induction

[V]

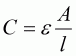
11.4. Electric field

electric field strength


= voltage in V




= thickness of the dielectric in m



charge

Q = I · t

[As]

capacity

[F]


Q = quantity of electricity in AS




C in F (1F = 1 AS/V)



equation of dimensioning


dielectric constant


relative dielectric constant

er: matter constant, relative to the vacuum


absolute dielectric constant


dielectric flux density

D = e · E


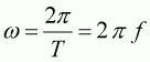
11.5. Alternating current engineering

frequency


T = cycle duration in s


gyro-frequency

phase angle

instantaneous value of a sinusoidal a.c. voltage

instantaneous value of a sinusoidal a.c. current

maximum value



- of a sine-wave voltage


U = virtual value



- of a sine current


I = virtual value



inductive resistance

(inductive reactance)

L in H

capacitive resistance

(capacitive reactance)

C = capacity in F


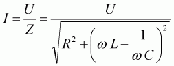
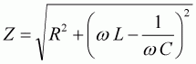
Series connection

impedance

[W]

ohmic drop in voltage

UR = I · R

[V]

inductive voltage drop

UL = I · XL = I · w L

[V]

capacitive voltage drop

[V]

Ohm’s law for alternating current

[A]

Powers in case of single-phase alternating current

apparent power

S = U · I

[VA]

active power

P = U · I · cos z

[W]

reactive power

Q = U · I · sin z

[Var]

power factor


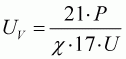
Powers in case of three-phase alternating current

apparent power

[VA]

active power

[W]

reactive power

[Var]

power factor


efficiency for motors and generators



Pe = effective power




Pi = indicated power



speed calculation of three-phase motors rotating field speed


p = number of pole pairs


slip

[%]


n = rotor speed


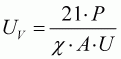
11.6. Calculation of power

calculation of power losses

PV = power loss in per cent

direct current

[%]

single-phase alternating current

[%]

three-phase alternating current

[%]



[V];

[V]

[V];

[V]

[V];

[V]

Determination of a conductor cross-section

- Calculation of the rated current from current, voltage and power factor.

- Division by all suitable current-carrying capacity factors of the Tables 9 to 12.

- Determination of the conductor cross-section according to the given current-carrying capacity factors after the calculated fictive current.

- Calculation of the conductor cross-sections according to the given power and voltage loss.

- Comparison of the cross-sections found out under the third and fourth point. The greatest is chosen as the cross-section to be installed.

Conversion of the measuring units of work and power

Work

J

erg

kpm

kWh

PSh

kcal

1 1

107

0.102

0.278 · 10-6

0.378 · 10-6

0.239 · 10-3

107

1

0.102 · 10-7

0.278 · 10-13

0.378 · 10-13

0.239 · 10-10

9.81

9.81 · 107

1

2.72 · 10-6

3.70 · 10-6

2.34 · 10-3

3.60 · 106

3.60 · 1013

3.67 · 105

1

1.36

860

2.65 · 106

2.65 · 1013

2.70 · 105

0.7355

1

632

4187

4.19 · 1010

427

1.16 · 10-3

1.58 · 10-3

1

Power

W

kW

kpm s-1

PS

kcal s-1

kcal h-1

1

10-3

0.102

1.36 · 10-3

2.39 · 10-4

0.86

103

1

102

1.36

0.239

860

9.81

9.81 · 10-3

1

0.0133

2.34 · 10-3

8.43

735.5

0.7355

75

1

0.1757

632

4187

4.19

427

5.69

1

3600

1.16

1.16 · 10-3

0.119

1.58 · 10-3

2.78 · 10-4

1

TO PREVIOUS SECTION OF BOOK

CD3WD Project Donate