Back to Home Page of CD3WD Project or Back to list of CD3WD Publications

CLOSE THIS BOOKDesign of a Suspension Burner System for Forestry and Agricultural Residues (NRI)
Results of experimental work
VIEW THE DOCUMENTIntroduction
VIEW THE DOCUMENTFeeder trials
VIEW THE DOCUMENTLighting and starting procedures
VIEW THE DOCUMENTResults of combustion trials
VIEW THE DOCUMENTCoir dust dewatering trials

Design of a Suspension Burner System for Forestry and Agricultural Residues (NRI)

Results of experimental work

Introduction

The furnace trials were carried out using sawdust, rice husks, coir dust and groundnut shells. The trials were divided into three stages: (i) selecting the best method(s) of feeding the materials; (ii) determining a procedure for lighting and starting the furnace; and (iii) finding the optimal operating conditions for combusting the materials. With coir dust, which was received in a wet condition as typically found at coir factories, there was an additional stage involving dewatering trials.

Feeder trials

The three systems considered were:

· auger screw feeder; an Ajax Standard Massflow Mark Il;
· vibratory feeder; a Triton type TR1S electromagnetic vibrating feeder/ hopper unit; and
· turntable feeder; NRI design.

The auger screw feeder is driven by a variable speed motor connected to a controller and adjustable by the operator. The hopper capacity is approximately 0.14 m3. The auger screw fed sawdust. groundnut shells. coir dust and rice husks well. However, sawdust at moisture contents above 12%, woodchips, groundnut shells and coir dust tended to form stable bridges in the conical shaped hopper and the hopper throat thus restricting flow. A stirrer was fitted to agitate the material in the hopper but gave limited success.

The vibratory feeder table, with a 0.3 m3-capacity vibrating hopper, successfully fed sawdust at all moisture contents, rice husks, groundnut shells and coir dust. Some feeding difficulties occurred when the feedstocks contained a large proportion of fibres or larger particles - these tended to block the feed outlet between the hopper and vibrating table. A similar problem occurred with large woodchips and woodshavings.

The turntable system described in the section on the feeder unit was considered to give the best results with feedstocks containing larger particles. However, feedstocks containing any appreciable amount of fibre tended to restrict the flow of material between the hopper and the turntable.

Lighting and starting procedures

Lighting and starting procedures were established and are described in Appendix l.

Results of combustion trials

General
Sawdust
Groudnut shells
Coir dust
Rice husks
General

The fuel properties of sawdust, groundnut shells, coir dust and rice husks were investigated; a summary of results is given in Table 1.

The use of 100 mm-thick refractory cement for the furnace walls gave the system a very large thermal mass: this helped to even out fluctuations in furnace energy and temperature output caused by variations in flow rates and combustion properties of the material fed to the system. The furnace would retain heat for many hours after the fan and feeder had been switched off, and a typical temperature cooling curve is shown in Figure 3. The high thermal capacity of the furnace provides an added facility for automatic relighting up to 4 hours after shutdown of the system.


Figure 3 Furnace cooling curve


Table 1 Fuel properties


Table 2 Operating conditions during the sawdust combustion trials

During the trials the furnace was monitored closely for signs of wear, in particular, possible stress damage caused by the high temperatures. It was noted that the section of the stainless steel outlet tube that protruded into the upper part of the furnace quickly corroded. Extended trials with the furnace showed that this section of tube was not necessary. Apart from this, no other signs of accelerated wear were noted. The outer metal structure and inner refractory cement lining remained intact and in good order.

Sawdust

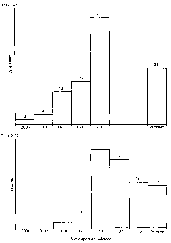
At a nominal feedrate of 25 kg/in (oven-dry basis) 3 trials each were carried out at nominal moisture contents of 12% (as received), 20%, 30%, and 40%, with nominal excess air values of 300%, 400% and 500%. Trials with sawdust at 50% moisture content were also conducted. For reference, an analysis of the sawdust particle size distribution was made and the results are shown in Figure 4.

Details of operating conditions are given in Table 2, and results of the combustion trials are summarized in Table 3.

Efficient combustion was sustained and controlled at sawdust moisture contents of up to 40%. Trials at sawdust moisture contents of 50% gave poor combustion with smoky exhaust emissions. Energy balances are shown in Table 4. Radiated and convected heat losses from the furnace ranged from 3% to 5%. The energy recovered, taking into account furnace and heat exchanger radiated and convected heat losses and the energy contained in the flue gas, ranged from 46% to 54%. The lower efficiencies were experienced at the higher moisture contents.

The optimal excess air value for sawdust moisture contents in the range of 12-40% was between 200% and 300%. At these conditions the unit was observed to combust the sawdust fully and produce a clean exhaust emission.

At excess air levels of 400% and above, the increased air velocity through the furnace had a marked cooling effect, and also decreased the particle residence time in the furnace hot zone. This led to poor combustion and a smoky exhaust emission.

Groundnut shells

A series of trials with groundnut shells at a 15% moisture content (as received) were conducted at various feed rates and excess air values. Steady-state conditions were achieved at operating conditions similar to those found with sawdust at 12% moisture content. However, in all trials a blue-coloured haze was observed in the exhaust emission. This condition was considered to be associated with incomplete combustion. Unsuccessful attempts to improve this condition included operating at an elevated furnace temperature, and reducing the particle size of the groundnut shell by passing it through a 4 mm-square mesh hammermill.

Coir dust

The system was pre-heated with sawdust and when steady-state operating conditions were achieved, coir dust at 15% moisture content (as received) was fed into the furnace. A number of trials were conducted at various feed rates and excess air values, but in all trials combustion could not be sustained easily and black smoke would discharge from the exhaust. It was noted that ash from the coir dust fused inside the furnace chamber and glazed the inner surfaces. Ash fusion temperatures were investigated and these are reported in Table 1.


Figure 4 Particle size analysis - sawdust

Rice husks

As with coir dust, the furnace was pre-heated with sawdust until steady-state operating conditions were achieved. Rice husks, at 12% moisture content (as received), were fed into the furnace and it was found that, whilst combustion was sustained for a short while, rice husk ash quickly collected in the furnace and choked the system. Because of this suppression effect by the rice husk ash, the trial was limited to a short period of time and no firm conclusion on the extent of combustion could be drawn.


Table 3 Results of the sawdust combustion trials


Table 4 Energy balances

Coir dust dewatering trials

A consignment of coir dust was obtained from a Sri Lankan coir fibre factory. It was typical of coir waste generated from associated coir fibre processes and consisted of pith and fibre at a moisture content of more than 86%. To process it into a more suitable feedstock for combustion, attempts were made to reduce its water content. Methods considered were: hydraulic press; screw press; centrifuge; Protessor expeller; and a Rosedown expeller. Results of the trials are given in Appendix 2. They show that at best it was only possible to reduce the moisture content to approximately 56%; this was considered to be too high for efficient combustion. Moreover the product was in the form of a compacted cake which would require significant mechanical action to break it down for suspension burner use.

The combustion trials were consequently conducted with a supply of coir dust from a United Kingdom mattress manufacturer. The manufacturer used coir fibre, imported from Sri Lanka, as a mattress filling; coir dust was a waste byproduct of the operation. The dust was relatively dry at a nominal 15% moisture content and contained little fibre. Before the dust was used for the combustion trials it was screened through a 12 mm-square mesh to remove the small amount of remaining fibre.

TO PREVIOUS SECTION OF BOOK TO NEXT SECTION OF BOOK

CD3WD Project Donate