Back to Home Page of CD3WD Project or Back to list of CD3WD Publications

CLOSE THIS BOOKNeem: A Tree for Solving Global Problems (BOSTID, 1992, 127 p.)
VIEW THE DOCUMENTAcknowledgments
VIEW THE DOCUMENTPreface
VIEW THE DOCUMENTArt Credits
VIEW THE DOCUMENTForeword
VIEW THE DOCUMENT1 The Vision
VIEW THE DOCUMENT2 The Reality
VIEW THE DOCUMENT3 The Tree
VIEW THE DOCUMENT4 What's in a Neem
VIEW THE DOCUMENT5 Effects on Insects
VIEW THE DOCUMENT6 Effects on Other Organisms
VIEW THE DOCUMENT7 Medicinals
VIEW THE DOCUMENT8 Industrial Products
VIEW THE DOCUMENT9 Reforestation
VIEW THE DOCUMENT10 Next Steps
Appendixes
VIEW THE DOCUMENTThe BOSTID Innovation Program
VIEW THE DOCUMENTBoard on Science and Technology for International Development

4 What's in a Neem

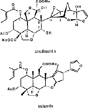
Neem protects itself from the multitude of pests with a multitude of pesticidal ingredients. Its main chemical broadside is a mixture of 3 or 4 related compounds, and it backs these up with 20 or so others that are minor but nonetheless active in one way or another. In the main, these compounds belong to a general class of natural products called "triterpenes"; more specifically, "limonoids."

LIMONOIDS

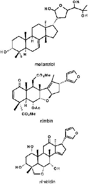
So far, at least nine neem limonoids have demonstrated an ability to block insect growth, affecting a range of species that includes some of the most deadly pests of agriculture and human health. New limonoids are still being discovered in neem, but azadirachtin, salannin, meliantriol, and nimbin are the best known and, for now at least, seem to be the most significant.

Azadirachtin

One of the first active ingredients isolated from neem, azadirachtin has proved to be the tree's main agent for battling insects. It appears to cause some 90 percent of the effect on most pests. It does not kill insects - at least not immediately. Instead it both repels and disrupts their growth and reproduction. Research over the past 20 years has shown that it is one of the most potent growth regulators and feeding deterrents ever assayed. It will repel or reduce the feeding of many species of pest insects as well as some nematodes. In fact, it is so potent that a mere trace of its presence prevents some insects from even touching plants.
Azadirachtin is structurally similar to insect hormones called "ecdysones," which control the process of metamorphosis as the insects pass from larva to pupa to adult. It affects the corpus cardiacum, an organ similar to the human pituitary, which controls the secretion of hormones. Metamorphosis requires the careful synchrony of many hormones and other physiological changes to be successful, and azadirachtin seems to be an "ecdysone blocker." It blocks the insect's production and release of these vital hormones. Insects then will not molt. This of course breaks their life cycle.

On average, neem kernels contain between 2 and 4 mg of azadirachtin per gram of kernel. The highest figure so far reported - 9 mg per g - was measured in samples from Senegal.

The Breakthrough

Although thousand-year-old Sanskrit medical writings mention neem's usefulness, the tree's exciting potential for controlling insects has only recently become clear.

Neem's ability to repel insects was first reported in the scientific literature in 1928 and 1929. Two Indian scientists, R.N. Chopra and M.A. Husain, used a O.001-percent aqueous suspension of ground neem kernels to repel desert locusts. Not until 1962, however, was the real significance demonstrated. That year, in field tests in New Delhi, S. Pradhan ground up neem kernels in water and sprayed the resulting suspension over different crops. He found that, although locusts landed on the plants, they refused to eat anything, sometimes for up to 3 weeks after the treatment. Furthermore, he noted that neem kernels were even more potent than the conventional insecticides then available and that neem's repellency was as important as its toxicity. In neighboring insecticide-treated fields, for instance, the insects also died, but not before consuming the crops.

Neem's insect-growth-regulating (IGR) effects were independently observed in England and Kenya in 1972. In England, L.N.E. Ruscoe, at that time an employee of the ICI Company, tested azadirachtin on insect pests such as cabbage white butterfly (Pieris brassicae) and cotton stainer bug (Dysdercus fasciatus) and noted IGR effects in each case. The azadirachtin was provided by D. Morgan, a Keele University chemist who had been the first to isolate azadirachtin. In Kenya that same year, K. Leuschner, a German graduate student working at the Coffee Research Station in Upper Kiambu, observed that a methanolic neemleaf extract controlled the coffee bug (Antestiopsis orbitalis bechuana) by growth-regulating effects. Most fifth-instar nymphs treated with the extract died during subsequent molts and the few that survived to adulthood had malformed wings and thoraxes.

Neem's fecundity-reducing effects were first recorded by R. Steets (another graduate student) and H. Schmutterer in Germany. Applying methanolic neem-kernel extract and azadirachtin to the Mexican bean beetle (Epilachna varivestis) and the Colorado potato beetle (Leptinotarsa decemlineata) they found that females almost stopped laying eggs. Some females had been completely sterilized, and the effect was irreversible.

Meliantriol

Another feeding inhibitor, meliantriol, is able, in extremely low concentrations, to cause insects to cease eating. The demonstration of its ability to prevent locusts chewing on crops was the first scientific proof for neem's traditional use for insect control on India's crops.

Salannin

Yet a third triterpenoid isolated from neem is salannin. Studies indicate that this compound also powerfully inhibits feeding, but does not influence insect molts. The migratory locust, California red scale, striped cucumber beetle, houseflies, and the Japanese beetle have been strongly deterred in both laboratory and field tests.

Nimbin and Nimbidin

Two more neem components, nimbin and nimbidin, have been found to have antiviral activity. They affect potato virus X, vaccinia virus, and fowl pox virus. They could perhaps open a way to control these and other viral diseases of crops and livestock.

Nimbidin is the primary component of the bitter principles obtained when neem seeds are extracted with alcohol. It occurs in sizable quantities - about 2 percent of the kernel.

Others

Certain minor ingredients also work as antihormones. Research has shown that some of these minor neem chemicals even paralyze the "swallowing mechanism" and so prevent insects from eating. Examples of these newly found limonoids from neem include deacetylazadirachtinol. This ingredient, isolated from fresh fruits, appears to be as effective as azadirachtin in assays against the tobacco budworm, but it has not yet been widely tested in field practice.


Figure 1. Chemical structures of neem's main ingredients. The complexity of these compounds demonstrates that nature is still the greatest chemist. Of the numerous pesticidal agents isolated so far from neem kernels, azadirachtin is the most active against insects. In addition to inhibiting their growth, it interferes with their powers of taste. Many leafeating insects are repelled by plants to which even small amounts of azadirachtin have been applied. Azadirachtin, salannin, and nimbin all have the same basic limonoid structure. This differs from' but is not unlike, that of the sterols to which the insect molting hormones ("ecdysones") belong. An insect ingesting traces of these compounds is deeply affected because these "hormone mimics" block the parts of the brain that produce the hormones necessary to growth and development. In many cases, for instance, the insect's body may be ready to change while the hormones to complete the molt are not available. These deep-seated hormonal effects are the reason for neem's subtle, powerful, and yet insect-specific influences.


Figure 2.

Two compounds related to salannin, 3-deacetylsalannin and salannol, recently isolated from neem, also act as antifeedants.

PRODUCTION

Although bioactive compounds are found throughout the tree, those in the seed kernels are the most concentrated and accessible. They are obtained by making various extracts of the kernels and, to a lesser extent, of the press cake. Although the active ingredients are only slightly soluble in water, they are freely soluble in organic solvents such as hydrocarbons, alcohols, ketones, or ethers.

No new or unusual technology is required for any of the processing. It can be done using either simple village-scale technology or hightechnology methods and industrialized facilities. The most common procedures are summarised below.(Preparations of aqueous, oil, powder, and press cake formulations, as well as other methods, are described in more detail in Stoll, 1986.)

Water Extraction

The simplest technique (and the most widely employed today) is to crush or grind the kernels and extract them with water. They may, for example, be steeped overnight in a cloth bag suspended in a barrel of water. For reasons not yet understood, this process is less effective than pouring the water into the bag and collecting the extract as it emerges. The resulting crude suspension can be used in the field without further modification. It can also be filtered and employed as a sprayable emulsion.

This is the most promising approach for use in Third World villages. It has been estimated that by using water extraction, 20-30 kg of neem seed can normally treat 1 hectare. At this rate, the annual seed crop from one mature tree could treat up to half a hectare.(Such figures are only a rough average. The amount used, of course, is different for each pest and planting density.)

However, it is necessary to use a lot of water because the active ingredients have very low solubility in water. Normally, the proportions employed are about 500 g of kernel steeped in 10 lifers of water.

Water extracts of ground neem leaves are also very useful. Because neem is an evergreen, they are obtainable throughout the year.

Hexane Extraction

If the kernels are grated and steeped in the solvent hexane, only the oil is removed. The oil is not considered an active pesticide. However, new results show that it is an especially interesting material, which in certain cases can be used to kill the eggs of many types of insect, the larvae of mosquitoes, and various stages of certain pests (such as leafhoppers) that are often hard to control by other means.

The residue left after the hexane extraction still contains the main active limonoid ingredients, and subsequent extractions with water or alcohol produce them in large amounts, clean and uncontaminated by oil.

Pentane Extraction

Pentane extracts of seed kernels are effective against spider mites. They reduce the fecundity (number of eggs) of Tetranychus urticae, for example. The active principles in the extracts differ from azadirachtin.(Sanguanpong and Schmutterer, 1991.)

Alcohol Extraction

Alcohol extraction is the most direct process for producing neembased pesticidal materials in concentrated form. Limonoids are highly soluble in alcohol solvents. The grated kernels are usually soaked in ethanol, but sometimes in methanol. The yield of active ingredients varies from 0.2 to 6.2 percent.(Good rates of extraction have been obtained with other solvents as well. In comparing extraction methods, it was found that the azeotropic mixture of methanol and methyl tertiary-butyl ether was efficient and simple. It achieved an extract yield of 4-5 percent. (Feuerhake, 1984.) )

Although water extracts are effective as pesticides, neem compounds are not highly soluble in water; the alcohol extracts are about 50 times more concentrated. They may contain 3,000 parts per million (ppm) or even 100,000 ppm azadirachtin.

FORMULATIONS

As noted, the simplest neem pesticide is a crude extract. However, for more sophisticated use, various modifications can be made. These advanced formulations may convert neem extracts into the form of granules, dust, wettable powders, or emulsifiable concentrates. Aqueous extracts can also be formulated with soap for ease of application against skin diseases.

Other formulations may involve the addition of chemicals or even the chemical modification of the neem ingredients themselves. These changes may be made to increase shelf stability and reproducibility, and for ease of handling or of scaling up the process. They may also reduce phytotoxicity, the damage to sensitive plants.

One particularly valuable class of additives are those that inhibit ultraviolet degradation. These include sesame oil, lecithin, and paraaminobenzoic acid (PABA).

Additives

Mixing neem extracts with other materials can boost their power 10- to 20-fold. Among these so-called "promoters" are sesame oil, pyrethrins (a type of insecticide mostly extracted from chrysanthemum flowers, see sidebar page 91), and piperonyl butoxide. They are used to produce a quicker kill.

Combinations with synthetic pesticides also can work well - they add rapid "knockdown" to neem's ability to suppress the subsequent rebound in the pest population. The effectiveness of neem extracts can even be boosted with the insect-killing bacterium Bacillus thuringensis (Bt) to provide a multifaceted pesticide.

METHODS OF APPLICATION

Neem extracts can be applied in many ways, including some of the most sophisticated. For example, they may be employed as sprays, powders, drenches, or diluents in irrigation water - even through trickle- or subsurface-irrigation systems. In addition, they can be applied to plants through injection or topical application, either as dusts or sprays. Moreover, they can be added to baits that attract insects (a process used, for instance, with cockroaches). They are even burned. For example, neem leaves and seeds and dry neem cake are ingredients in some mosquito coils.

SYSTEMIC EFFECT
The fact that the extracts can be taken up by plants (and thereby confer protection from within) is one of neem's most interesting and potentially useful features. As has been noted, however, the level of this systemic activity differs from plant to plant and formulation to formulation. Extracts without oil, with a little oil, and with much oil exhibit different levels of systemic action.

The systemic activity differs with the insect as well. It is not effective on some aphids, for instance. They feed in phloem tissues, where (for reasons yet unknown) the concentration of azadirachtin is very low. Phloem is the plant's outermost layer of conductive tissues and insects such as these, whose mouthparts cannot penetrate past it, are little affected by neem treatments. On the other hand, leafhoppers and planthoppers, that feed at least half the time on the deeper layer of conductive tissues (called the xylem), get knocked down.

TO PREVIOUS SECTION OF BOOK TO NEXT SECTION OF BOOK

CD3WD Project Donate